网站首页  词典首页


请输入您要查询的字词:

 

字词 出口物价指数
类别 中英文字词句释义及详细解析
释义 出口物价指数

指反映各时期出口货物价格变动情况的指数。

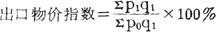
既可以编制个体的或类的出口物价指数,也可以编制出口物价总指数。编制类的和总的出口物价指数的公式为:

式中:∑为总计的符号,p1为报告期出口某种货物单位平均离岸价格,p0为基期出口某种货物单位平均离岸价格,q1为报告期出口某种货物的量。出口某种货物单位平均离岸价格,是出口该种货物离岸价格总金额,除以出口该种货物的总量之商。

随便看

 

离鸟网收录3541549条中英文词条,其功能与新华字典、现代汉语词典、牛津高阶英汉词典等各类中英文词典类似,基本涵盖了全部常用中英文字词句的读音、释义及用法,是语言学习和写作的有利工具。

 

Copyright © 2004-2024 vtrois.com All Rights Reserved
更新时间:2026/4/17 19:18:20