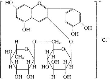
凯拉花青
C27H31ClO15=630.99 CAS-18719-76-1 3-[[6-O-(6-去氧-α-L-吡喃甘露糖基)-β-D-吡喃葡萄糖基]氧]-3′,4′,5,7-四羟基黄锌盐氧化物。 3-[[6-O-(6-Deoxy-α-L-mannopyranosyl)-β-D-glucopyranosyl]oxy]-3′,4′,5,7-tetrahydroxyflavylium chloride. 3-O-鼠李葡糖苷基氧氯化氰定。 3-O-Rhamnoglucosyloxycyanidin chloride. 视紫质再生药。 Keracyanin,Keracyanin Chloride. INN,DCF,USAN,MI.  |