几种常见函数的导数
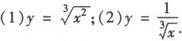
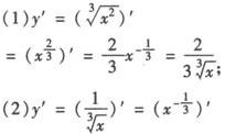
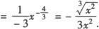
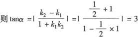
根据导数的定义,可得出一些常见函数的导数公式: (1)C′=0(C为常数); (2)(xn)′=nxn—1(n∈Q); (3)(sinx)′=cosx; (4)(cosx)′=—sinx. 例1 求下列各函数的导数.  解 将根式化为幂指数形式求导.   例2 求双曲线 与抛物线 在交点处的切线的夹角. 解 要求两切线的夹角,只需先求出两切线的斜率,求斜率即求导数. 函数 的导数y′=—x—2,函数y= 的导数y′=1/2x—1/2.  ∴两曲线交点为(1,1). ∴双曲线 在点(1,1)处的切线的斜率k1=—1,抛物线 在点(1,1)处的切线的斜率k2=1/2. 设两条切线的夹角为α,  ∴α=arctan3. |