净现值法
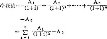
指把与投资方案有关的现金流量按资本成本或投资者要求达到的报酬率折算成现值,然后同原投资额比较,以确定投资方案取舍的一种方法。 计算公式如下: 净现值=未来有关现金流量现值-原投资额 或:  式中,Ak表示第k期的现金净流入量,i表示资本成本或要求报酬率,A。表示原投资额。 净现值的计算程序为:(1)计算全部现金流入量现值;(2)计算全部现金流出量现值;(3)计算净现值。 净现值计算结果不外乎以下三种:(1)净现值大于零。表示可获得比资本成本或要求报酬率要高的报酬率,投资方案可行。(2)净现值等于零。 表示可获得要求达到的报酬率,投资方案可行。(3)净现值小于零。 表示可获得的报酬率低于资本成本或要求报酬率,投资方案不可行。净现值法考虑了货币的时间价值,使不同时期的现金流量有了可比性,是长期决策中常常采用的方法。 但该法建立在两个假设之上,一是所有的现金流量都发生在每一期末,二是现金流量立即又以同样或更高的利润进行新的投资。另外,在不同方案原投资额不等的情况下,投资方案的优劣不能以净现值大小为取舍标准,决策时需要辅以其他方法。 |