净现值
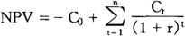
投资项目寿命周期内各年的现金流量按一定的贴现率折算成现值后与初始投资的差额。 所用的贴现率可以是企业资金成本,也可以是企业所要求的最低收益水平。净现值的计算公式为:  式中:NPV——净现值;C0——初始投资额;Ct——第t年现金净流量;r——贴现率;n——投资项目的寿命周期。 净现值指标的决策标准是,如果投资项目的净现值大于零,接受该项目;如果投资项目的净现值小于零,放弃该项目;如果多个互斥的投资项目相互竞争,则选取净现值最大的投资项目。该指标考虑了投资项目资金流量的时间价值因素,但是净现值指标不能在投资额不同的方案之间进行资金的利用效率的比较。 |