网站首页  词典首页


请输入您要查询的字词:

 

字词 净外汇效果
类别 中英文字词句释义及详细解析
释义 净外汇效果

这是分析项目受外汇状况影响的指标,主要包括净外汇流量和取代进口效果两部分。

净外汇流量等于外汇流入与外汇流出之差,取代进口效果是确认可以取代进口而节约的外汇价值。

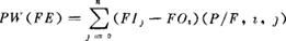
净外汇效果的计算公式为:

式中:PW(FE)表示项目研究周期内净外汇流量的现值;FIj表示项目在第j年的外汇流入,它包括外汇贷款、国外股本、出口产品收入以及确认可以取代进口而节约的外汇价值;FOj表示项目在第j年的外汇流出,它包括进口设备、备品备件和专利等外汇支出,国外贷款本金和利息的偿还以及支付外籍人员的工资等;(P/F,ij)表示第j年的现值系数。

随便看

 

离鸟网收录3541549条中英文词条,其功能与新华字典、现代汉语词典、牛津高阶英汉词典等各类中英文词典类似,基本涵盖了全部常用中英文字词句的读音、释义及用法,是语言学习和写作的有利工具。

 

Copyright © 2004-2024 vtrois.com All Rights Reserved
更新时间:2026/4/17 21:28:25