网站首页  词典首页


请输入您要查询的字词:

 

字词 冷却净化系统工艺计算示例
类别 中英文字词句释义及详细解析
释义 冷却净化系统工艺计算示例

根据本节沸腾焙烧炉工艺计算示例,沸腾炉出口炉气温度850℃,组成为:

(1)泡沫塔出口水温

泡沫塔出口水温,若达到对应于炉气进口条件下的湿球温度,则用水量为最小。实际达不到此要求。计算定进水温度为30℃,并假定出水温度为50℃。

炉气带入热:108710千卡/时(见文氏管计算)。

假定溶解于水中的二氧化硫量为14公斤,则干炉气量:1326.3-14=1312.3公斤/时。

炉气带出热:Ⅰ40=37.18千卡/公斤干炉气

1312.3×37.18=48800(千卡/时)

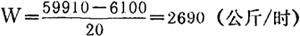
炉气释出热:108710-48800=59910(千卡/时)

出口炉气含水量:1314.3×0.0463=60.9(公斤/时)

冷凝水量:183.2-60.9≌122(公斤/时)

用水量:59910=(50-30)W+50×122

排水量:2690+122=2812(公斤/时)

(2)排水中二氧化硫溶解量

近似取进口SO2浓度,压力取塔内平均操作压力。

tw=50℃,Ps0。=68毫米汞柱,水中二氧化硫饱和溶解量为0.56克/100克水,实际取饱和量的85%。溶解于水中的SO2量:

(3)出泡沫塔炉气成分

(4)泡沫塔设备核算

❶ 塔板数:在图6-2-27上作操作线AB,A点为进水温度.出气的热焓;B点为出口水温,进气的热焓。由梯级法求得理论塔板数为2块,实际采用3块。

❷ 空塔速度和塔内径:塔内平均气量:

塔内平均气温:(65+40)/2=52.5℃

塔内平均压力:719毫米汞柱

操作气量:

塔截面积:即空塔气速为1.6米/秒。

F=0.373/1.6=0.233(米2)

塔内径:

❸ 淋洒密度:2.690/0.233=11.52(米3/米2·时)

❹ 气液比:1341∶2.69≌500∶1

❺ 塔板参数:本示例计算为一小塔,为了简化设备结构,全部采用淋降板。

上层塔板(分布板),取孔速为8米/秒。

塔板自由截面积:0.373/8=0.0467(米2)

S0==0.0467/0.233×100=20%

根据表6-2-46,取孔径为7.0毫米,孔中心距为15毫米,等边三角形排列,S0=19.74%。

中,下层塔板,取孔速11米/秒。

塔板自由截面积:0.373/11=0.0338(米2)

S0=O.0338/0.233×100=14.5%

根据表6-2-46取孔径为6毫米,孔中心距为15毫米,等边三角形排列,S0=14.5%。

孔中心距t/孔径d之比值,对于气液两相的混合程度具有决定意义。对于上层塔板,主要起分布作用,要求阻力低,液体泄漏快,t/d应在2以下,本示例为15/7=2.01,基本接近要求。中下层塔板t/d要求在2~2.5之间比较合适,本示例为15/6=2.5。

自由截面率S0在10~18%之间,孔速在6~15米/秒之间均可获得较好结果。

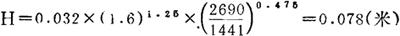
❻ 板间距:泡沫层高度H取200毫米,分离空间H空间取150毫米,附加高度h附加取0.25H即50毫米,则塔板间距;

HT=200+150+50==400(毫米)

❼ 阻力计算:干塔板阻力ΔP1,假定塔板厚δ=15毫米,Kc=1.5,γ≌1.0公斤/米3,中、下层塔板孔速W=11米/秒,上层塔板孔速W′=8米/秒。

泡沫层阻力取决于泡沫层高度,淋降板泡沫层高度可按下式估算:

式中 W——空塔气速,1.6米/秒;

L——液流强度,2690公斤/时:

G——气流强度,1441公斤/时。

(取塔出入口平均值)

因此泡沫层阻力ΔP2

ΔP2=325×0.078-23×1.6+43.5=32.1(毫米水柱)

三层塔板的阻力共计:

2×13.4+7.1+3×32.1=130.2(毫米水柱)

加上塔的进出口,总阻力为

130.2×1.1≌145(毫米水柱)

随便看

 

离鸟网收录3541549条中英文词条,其功能与新华字典、现代汉语词典、牛津高阶英汉词典等各类中英文词典类似,基本涵盖了全部常用中英文字词句的读音、释义及用法,是语言学习和写作的有利工具。

 

Copyright © 2004-2024 vtrois.com All Rights Reserved
更新时间:2026/4/18 18:59:15