网站首页  词典首页


请输入您要查询的字词:

 

字词 辅酶a
类别 中英文字词句释义及详细解析
释义

辅酶Acoenzyme A

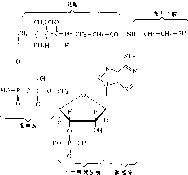
转移酶辅酶的一种,简写为CoA。为3′-磷酸腺苷与泛酰-β-巯基乙胺-4′-焦磷酸形成的酯。含有维生素B3。巯基是其功能基团,故又可写成CoASH。为一些酰基转移酶的辅酶,在代谢反应中起传递酰基的作用。

辅酶Acoenzyme A, Co A

系体内蛋白质、糖、脂肪代谢过程中起重要作用的一种酶。本品是自鲜酵母中提取的,含泛酸、腺嘌呤、核糖、半胱胺酸、磷酸等。对乙酰胆碱的合成、肝糖元的积存、降低胆固醇含量、血脂调节等均有重要作用。临床用于原发性血小板减少症、白细胞减少症、功能性低热、肝脏疾病、动脉硬化、心肌梗塞、肾功能减退、尿毒症等,均可作为辅助药。本品粉针每支50u。静滴1日1次,1次50u,用生理盐水或5~10%葡萄糖500ml溶解稀释后滴注。一般多配伍成能量注射液用(详见能量注射液条)。

辅酶A

简称“CoA”。含维生素泛酸的一种复合核苷酸。分子中含有泛酰巯基乙胺,是乙酰转移酶的辅酶。在代谢中作为一种乙酰基或其他酰基的载体,这些酰基连结在辅酶A的巯基上形成硫酯,故有传递酰基的作用。

辅酶A

辅酶A


辅酶A(coenzyme A.CoA)为体内乙酰化作用的主要辅酶的简称。1945年Lipmann发现它是鸽肝系统发生磺胺乙酰化反应的一个必需组分。同时,其他作者亦观察到在乙酰胆碱的合成中需要一个激活剂,这个激活剂就是辅酶A。目前辅酶A是从微生物发酵或从鲜酵母中提取而得。为白色粉末,有特殊的硫醇气味。溶于水,不溶于乙醇、乙醚、丙酮。在酸性溶液中较稳定,在碱性溶液中易失活变性,在中性pH条件下受热压处理,活性损失最小,pH4时活性损失最大。其精制品在有稳定剂,如半胱氨酸或其盐类存在下,耐热性较好。辅酶A极易被空气氧化成双硫型化合物(CoA-S-S-CoA),称为氧化型CoA。氧化型在体内外遇还原型物质又转成有活性的还原型。干燥品宜贮于真空安瓿中。
辅酶A最基本的功能是作为酰基载体而参与多种酶体系的反应。结构中的巯基(-SH)与各种酰基或硫酯键,通过其巯基的反复酰化和脱酰化而参与各种转酰基作用。反应图式如下:


因此它在脂肪酸和碳水化合物的中间代谢、氨基酸和胆碱的乙酰化、卟啉和胆甾醇的生物合成等方面都起着重要的作用。它还参加脂肪的氧化和合成、碳水化合物代谢中的三羧酸循环。
由于辅酶A是调节糖、脂肪及蛋白质代谢的重要因子,特别是在促进乙酰胆碱的合成、降低血中胆固醇、增加肝糖原的积累、促进甾体物质的合成中起着重要作用。用于冠状动脉粥样硬化、脂肪肝、肝昏迷、肝炎、慢性肾功能不全所引起的急性无尿等,作为辅助治疗药物。急性心肌梗塞者忌用。
肌内注射或静脉注射(粉针剂): 以生理盐水或5%葡萄糖注射液溶解后使用。每日1次或隔日一次,每次50U,一般以7~14日为一疗程。
☚ 辅酶   诊断用酶试剂 ☛
00005718
随便看

 

离鸟网收录3541549条中英文词条,其功能与新华字典、现代汉语词典、牛津高阶英汉词典等各类中英文词典类似,基本涵盖了全部常用中英文字词句的读音、释义及用法,是语言学习和写作的有利工具。

 

Copyright © 2004-2024 vtrois.com All Rights Reserved
更新时间:2026/4/18 8:22:10