网站首页  词典首页


请输入您要查询的字词:

 

字词 软药
类别 中英文字词句释义及详细解析
释义
软药

软药

软药是一类能根据预见的代谢途径和可控制的速度进行代谢分布,在发挥它的治疗作用后代谢为无毒物质的药物。它的结构可能与已知药物的结构相同,亦可能是新型的。与之相对的是一类在体内难以代谢,以原形药物发挥作用和排出的药物,称为硬药。实际上机体能改变很稳定的化学结构,即使有95%的药物以原形排出,但其少量的代谢物往往是活性高并有毒的。此外,要使药物具有不易代谢的特性,从药代动力学的观点,药物需具有两个极端的性质,一是脂溶性很高,消除半寿期很长,仅有一小部分的药物呈游离、可利用的状态;另一是水溶性很大,半寿期很短。故要成功设计理想的硬药尚有问题。用软药原理改变已知代谢途径的药物或推测可能有生物活性的化合物,以避免多种毒性,使之成为更理想的药物,将是药物设计的一个可行方法。
现举目前设计软药的几种方法,对软药的设计加以阐明。
设计类似物 本类化合物的结构与活性物质的类似,在先导物的原有结构中通过电子等排或等电子原则引入一个对代谢敏感的部分,通过此敏感部分,使药物经过一步代谢产生无毒性的物质。例如化合物(1)具有杀菌活性,难于代谢,故毒性较大。经修饰的分子,保持季胺盐和长链的脂溶性部分,而以易于代谢的酯基代替中间部分 (x)不易代谢的乙撑基,如化合物(2)—(4)。它们的物理性质与化合物(1)相近,也有相当的灭菌活性,只是易于在体内水解代谢成无毒物质,故毒性较低。如(4)小鼠口服的LD50为(1)的38倍。


利用活性代谢物 已知一些药物在体内逐步被代谢,有的代谢中间体具有与原药相同的生理作用。如药物常通过逐步的氧化代谢,产生一系列具有不同药代动力学、结合能力、分布和排泄等性质的代谢物。最终所表现的生物活性是不同代谢物的综合。而代谢物的组成往往根据个体中酶系统浓度的差异和影响酶活性的其他物质的存在而不同,由此而产生药物剂量、疗效和安全性的个体差异。
Bufuralol (5)的氧化代谢物(6)—(8)均为有效的β-阻断剂,它们在体内的药代动力学不同,它们之间的相对比例则与时间和个别酶的浓度等有关。难于推测哪一个是主要的活性型。根据软药的设计观点,应该设计能经一步就代谢去活的结构,即从一系列氧化代谢产生的各活性中间体中,在适宜的药代动力学和活性范围内,选择氧化态最高的药物。


天然软药——内源性物质 甾体、多巴胺及其他内源性物质,可视为天然软药。它们的代谢途径为预知的,在接近正常水平浓度时,于机体内能不经过高活性的中间体很快被分布代谢,不致产生意外的毒性,但这类化合物有的代谢过快,不能充分利用。当外源性的药量使血药浓度高于正常体内浓度时将产生明显副作用。在这种情况下可结合前药和软药两者来考虑,设计缓释的衍生物。
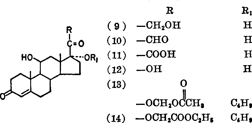
无活性代谢物的途径 从药物的已知无活性代谢物出发,经结构改造变为有活性的物质,而后者可经一步代谢转变为原始的无活性代谢物。例如氢化可的松(9)经氧化代谢失活。(10)—(12) 为其逐步氧化失活的代谢物。以(11) 和 (12)为母体经结构修饰后表现出较好的抗炎活性,适用于局部可避免全身作用。例如(13)和(14)为以(12)为母体结构修饰物。


值得提出的是根据现有的知识,可以推测很多活性物质的代谢途径和代谢物的结构,故软药的设计不需要等待经典代谢研究的结果。为了使药物避免产生多种毒性,软药设计很重要的一点是应着眼于尽早的代谢去活步骤,使设计的药物能较早的代谢为无活性物质。
☚ 前药   药物分析 ☛
00005207
随便看

 

离鸟网收录3541549条中英文词条,其功能与新华字典、现代汉语词典、牛津高阶英汉词典等各类中英文词典类似,基本涵盖了全部常用中英文字词句的读音、释义及用法,是语言学习和写作的有利工具。

 

Copyright © 2004-2024 vtrois.com All Rights Reserved
更新时间:2026/4/18 6:46:47