网站首页  词典首页


请输入您要查询的字词:

 

字词 农吉利碱[中]
类别 中英文字词句释义及详细解析
释义 农吉利碱[中]

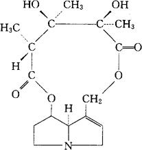
C16H23NO6=325.36

抗肿瘤药。

主要用于局部对皮肤鳞状细胞癌和基底细胞癌疗效较佳,对宫颈癌和阴茎癌以及白血病也有效。

野百合碱,可洛他林农吉利甲素。

Monocrotaline,Crotasline.

注∶全身给药毒性大。主要为骨髓抑制和严重肝功能损伤、胃肠道反应及泌尿系统刺激症状等。

随便看

 

离鸟网收录3541549条中英文词条,其功能与新华字典、现代汉语词典、牛津高阶英汉词典等各类中英文词典类似,基本涵盖了全部常用中英文字词句的读音、释义及用法,是语言学习和写作的有利工具。

 

Copyright © 2004-2024 vtrois.com All Rights Reserved
更新时间:2026/4/18 2:23:55