农业生产指数
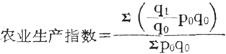
指用来综合反映一定时期全部农、畜产品实物量变动情况的指标。 编制这种指数的目的,在于为制定有关农业政策提供依据,以及预测农产品生产情况等。 农业生产指数的计算方法,原则上采用拉斯拜尔公式,但实际编制时,往往采用相应的固定加权算术平均法,计算公式为:  式中: 为各种农产品的实物量个体指数,p0q0为基期产值,作为计算指数的权数。 欧美等国除编制农业生产指数外,还编制农作物生产指数和畜产品生产指数以及粮食等重要产品的生产指数。 由于农业生产受自然条件影响较大,通常选择几年的平均数作为基期的数值。 如联合国粮农组织编制的农业生产指数,就曾采用1952-1956年、1961-1965年和1969-1971年的平均数作为基期的数值。 各国的农业生产指数包括的范围不尽相同,采用的基期也不一致,在各国间进行对比时,必须对范围和基期加以调整。 |