农业生产指数
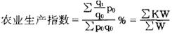
综合反映全部农产品产量动态变动的相对数。反映和研究农业发展速度的重要指标。计算方法是: ❶ 按可比价格计算各个时期的农业总产值,然后对比计算农业生产指数。计算公式为:  式中,pn为不变价格(或可比价格);q1,q0分别表示报告期和基期各种农产品产量。 ❷ 按各种农产品实物产量指数加权平均的方法计算农业生产指数。计算公式为:  式中,qt,q0分别表示比较年和基期年各种农产品的实物产量; 或K代表各种农产品的实物产量的个体指数;p0q0代表基期年各种农产品产值;W等于 p0q0,表示基期年各种农产品的权数值。这种方法实际上是以基期年的价格为不变价格,使用比较方便。基期年可以选定某一年,如该年年景不正常,也可以将几年的平均数作为基期数值。欧美各国除编制农业生产指数外,通常还编制各类农产品生产指数,主要有农作物生产指数,畜产品生产指数及食品生产指数等。 |