网站首页  词典首页


请输入您要查询的字词:

 

字词 赖氨酸及其代谢
类别 中英文字词句释义及详细解析
释义
赖氨酸及其代谢

赖氨酸及其代谢

赖氨酸的分子量为146.2,熔点为 224℃ (分解)[α]25D=+13.5(浓度=2,水)是构成蛋白质的氨基酸,具有携带第二个氨基的碱性侧链,呈现嗜水性,在酶活性中心的赖氨酸ε氨基可与磷酸吡哆醛形成Schiff式碱(例如在氨基酸转氨酶,氨基酸脱羧酶等中),及与硫辛酸辅基结合成肽键(例如丙酮酸脱氨酶的转乙酰基酶及α酮戊二酸脱氢酶的转琥珀酰基酶),在胶原中部分赖氨酸可转变成羟赖氨酸。在哺乳类动物体内赖氨酸的α及氨基在代谢上表现都不参与氨基酸的可逆性转氨基作用。
赖氨酸是营养上必需氨基酸,其分解代谢的主要途径证明在人和哺乳动物肝内,不是首先脱去α氨基,而是在酵母氨酸脱氢酶的催化下,其∈氨基与α酮戊二酸缩合成酵母氨酸后水解为α氨基己二酸半醛及谷氨酸。α氨己二酸半醛在氨基己二酸半醛脱氢酶的作用下即转变成α氨己二酸,然后进入赖氨酸的碳骨架的代谢途径,最后生成乙酰CoA,另外赖氨酸在肝内L氨基酸氧化酶催化下,可进行氧化脱氨基作用,生成α酮∈氨基己酸并自发环化而形成△1四氢吡啶2羧酸; 继之可还原为六氢吡啶羧酸。后者能通过△′四氢吡啶6羧酸及α氨己二酸
半醛转变成α氨己二酸,从而进入赖氨酸共同的碳骨架代谢途径。
赖氨酸很早即知可脱羧转变成尸胺(戊二胺),因出现于腐尸及大肠内容物内而得此名称。近年来证明尸胺(H2N—(CH2) 6—NH2) 与腐胺及多胺均出现于核蛋白体内。
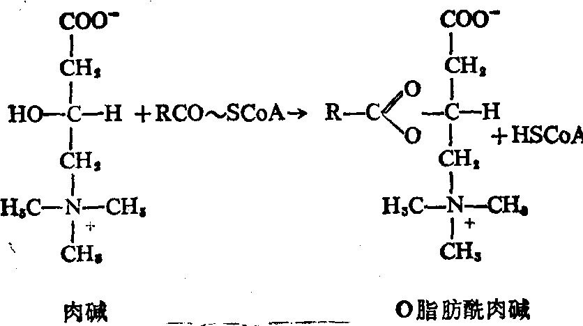
在肝内还发现赖氨酸被N乙酰化产生∈N乙酰赖氨酸,其意义不明,可能是赖氨酸的转化产物或排泄产物。近年来进一步阐明肉碱是赖氨酸的重要衍生物,其化学结构是三甲基γ氨β羟丁酸:


图中化学结构式自上而下依次为: 赖氨酸,酮
氨己酸,△′-四氢吡啶烯乙羧酸,六氢吡啶羧酸,
△四 氢吡啶-6羧酸,α氨基二酸半醛,α氨己二酸


肉碱在肌组织内的浓度远比其他肝、肾、心组织内为高。
肉碱的丁酸部分的四个碳原子来自赖氨酸的C—3、C—4、C—5及C—6, 而其氮来自赖氨酸—N, 至于其甲基均由S腺苷蛋氨酸提供。线粒体中,特别是长链脂酸需要肉碱参与下始能转移到线粒体内膜内接受β氧化酶体系的作用。在线粒体中肉碱充作脂肪酰基载体以转运长链脂肪酸:


☚ 精氨酸及其代谢   脯氨酸及其代谢 ☛
00000635
随便看

 

离鸟网收录3541549条中英文词条,其功能与新华字典、现代汉语词典、牛津高阶英汉词典等各类中英文词典类似,基本涵盖了全部常用中英文字词句的读音、释义及用法,是语言学习和写作的有利工具。

 

Copyright © 2004-2024 vtrois.com All Rights Reserved
更新时间:2026/4/19 15:41:02