网站首页  词典首页


请输入您要查询的字词:

 

字词 资金还原因数
类别 中英文字词句释义及详细解析
释义

资金还原因数

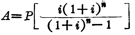
资金动态计算系数之一。当借贷一笔资金,在每个计息周期末按等额偿还其本和利时,可用此因数求出每个计息周期末应偿还的等额金额。其现金流量图为:


计算公式为:


式中:——为资金还原因数;
P——为贷款现金额;
A——为每计息期末等额偿还金额;
i——为复利;
n——为计息周期数。
随便看

 

离鸟网收录3541549条中英文词条,其功能与新华字典、现代汉语词典、牛津高阶英汉词典等各类中英文词典类似,基本涵盖了全部常用中英文字词句的读音、释义及用法,是语言学习和写作的有利工具。

 

Copyright © 2004-2024 vtrois.com All Rights Reserved
更新时间:2026/4/18 6:36:35