网站首页  词典首页


请输入您要查询的字词:

 

字词 质谱法
类别 中英文字词句释义及详细解析
释义

质谱法

简称“MS”。通过对样品离子的质量和强度的测定进行成分和结构分析的一种仪器分析方法。不同荷质比的离子在静电场和磁场中所受作用力不同,因而运动方向不同,导致彼此分离。经过分别捕获收集,确定离子的种类和相对含量。根据样品质量与电荷的比率记录成图谱,与标准图谱对照,即可得出组分的定性、定量和结构分析结果。应用此法分析的仪器称为质谱仪:由进样系统、离子源器、质量分析器及离子检测器等四部分组成。质谱法具有分析对象广泛、灵敏度高、分辨力强、分析速度快和所需样品少等优点。电子计算机的应用使质谱仪的效能大大加强;综合两种方法优点的气相色谱——质谱的联用使质谱技术进入新的阶段。质谱法在物证检验中常用于确认药物鉴定结果和对纵火案中燃油的鉴定。

质谱法

根据质谱图分析物质成份的技术方法。待测物质被高能电子轰击,产生具有不同质荷比的离子,在磁场作用下,彼此分离。经仪器记录,绘出表明离子质荷比和相对丰度的质谱图,反映离子的种类和相对含量。对质谱图分析,可分析元素、测定分子量、确定分子式及推断分子结构。质谱法所需检品量少,检出极限低,定性能力强。在被检品是混合物共存的情况下分析较困难。与气相色谱法和液相色谱法联用可提高检验能力。司法鉴定中可用于法医检验、毒物分析、物证分析中,分析气态、液态和固体的物质中各种成份,特别是测定原子量或复杂有机化合物的结构。

质谱法mass spectrometry,MS

将待测物质的分子转变成带电粒子,利用磁场或交变电场,使离子按照质量大小分离,形成质谱,进行定性定量分析的方法。最初的质谱计是由英国人阿斯顿(F.W.Aston)1919年制造的,用于测量某些同位素的相对半度。直到20世纪40年代,用它来测定有机化合物结构的技术才确立起来。现在,质谱法在有机化学、药物学、生物化学、石油化工、环境污染等方面都有广泛应用。在农药分析中多用于有效成分、杂质、农药残留物及分解代谢产物的结构鉴定。采用选择离子检测技术能大大提高仪器灵敏度,在农药残留研究中用于痕量物质的定量测定。
基本原理 使分子电离形成离子的方法有多种,最常用的是电子轰击电离,其次有化学电离、场致电离、火花电离等。当分子(ABCD)受到高能电子的轰击时,很容易失去一个电子而形成单电荷正离子:

ABCD+e→ABCD+2e

这一过程形成的离子(ABCD)称为分子离子或母离子。它为确定待测物的分子量提供了重要信息。形成分子离子时所获得的能量往往高于离子形成所需要的能量。多余的能量则使分子离子进一步断裂而形成各种碎片离子或中性碎片:

离子在电场作用下被加速,加速离子通过质量分析器进行分离。以磁偏转式质量分析器为例,离子在磁偏转式质量分析器中的运动方程式为:

式中 r为离子运动半径,H为磁场强度,m为离子的质量,e为离子的电荷,V为加速电压。磁偏转式质量分析器分析管的r是固定的。连续改变H或V,离子即可得到分离并按照质量大小顺序排列得到质谱图。
类型和基本构造 质谱计有多种类型,以适应于不同的用途。按照质量分析器的不同,可分为磁偏转质谱计、四极矩质谱计、飞行时间质谱计和双聚焦质谱计等。质谱计的基本组成为:进样系统、离子源、质量分析器、检测及记录系统、真空系统、电源及控制系统。其中离子源被视为质谱计的“心脏”。图1为一半圆形磁偏转式质谱计示意图。样品通过进样系统导入离子源,在高能电子的轰击下形成带电正离子,离子通过加速区加速后进入质量分析管,在磁场的作用下被偏转分离,通过出口狭缝到达收集极,经放大记录,即得到质谱图。


图1 磁偏式质谱计示意图
(据《分析化学》)


应用 质谱计主要用于化合物结构鉴定,在一定条件下可作定量分析。
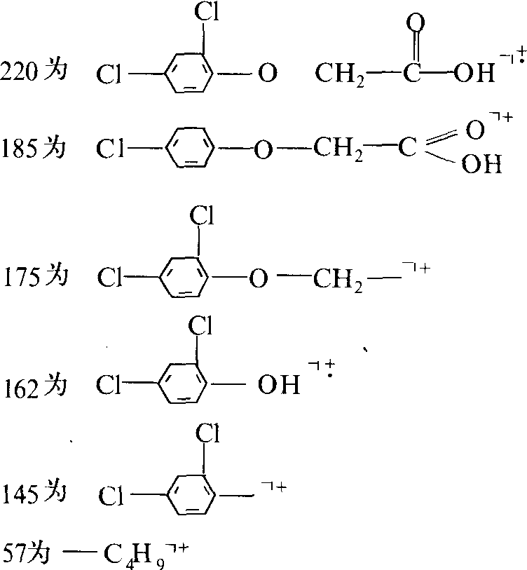
化合物结构鉴定 分子离子的稳定程度和断裂方式与分子结构有关。在一定条件下待测物分子能形成与其结构相关的特定离子组成构型,这是化合物结构鉴定的依据。图2为2,4-滴丁酯的质谱图。质荷


图2 2,4-滴丁酯质谱图
(据张百臻)

比276的峰为2,4-滴丁酯的分子离子峰为:

以下各峰分别为分子离子断裂所形成的碎片离子峰:

通过质谱图解析,可推断出此化合物的结构; 同标准图谱比较,根据未知物图谱与标准图谱相符合的程度来确定其是否为同一化合物。英国皇家化学学会质谱数据中心出版的《质谱八峰索引》(Eight Peak Indexof Mass Spectra)第3版(1983)收集了6万多个化合物的质谱数据可供检索。近年生产的质谱计一般都带计算机检索系统,使未知物结构的鉴定速度大大提高。
定量分析 在一定条件下,待测物分子所形成的离子强度与进样量呈线性关系,这是定量分析的依据。选择待测化合物质谱中某一特征性离子 (例如2,4-滴丁酯质谱中M/e=276的离子)作为被检测离子。配制不同浓度的标准溶液,进行质谱操作,绘制标准溶液浓度与离子强度曲线。图3为2,4-滴丁酯的溶液浓度与离子强度标准曲线。在相同条件下取待测样品溶液进行质谱操作,得到被检测离子的强度值,在标准曲线上查出相对应的浓度,从而计算出样品中待测组分的含量。


图3 2,4-滴丁酯浓度与离子强度曲线
(据张百臻)

质谱法mass spectrometry

是根据质谱图进行定性、定量分析并研究分子结构的方法。分子经电子流轰击,打掉分子中一个电子,使其成为带正电荷的分子离子,然后裂解成一系列的碎片离子。以离子的质荷比为序排列的图,称质谱图。

随便看

 

离鸟网收录3541549条中英文词条,其功能与新华字典、现代汉语词典、牛津高阶英汉词典等各类中英文词典类似,基本涵盖了全部常用中英文字词句的读音、释义及用法,是语言学习和写作的有利工具。

 

Copyright © 2004-2024 vtrois.com All Rights Reserved
更新时间:2026/4/21 14:37:38