网站首页  词典首页


请输入您要查询的字词:

 

字词 负债界点的计算
类别 中英文字词句释义及详细解析
释义
负债界点的计算

负债界点的计算

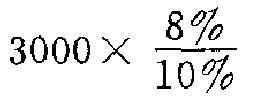
股份公司企业确定债券发行量一定要考虑企业未来盈利能力、偿债能力和通货膨胀可能抵消掉的资金数额。表明企业偿债能力的指数,称之为负债界点。如果超过了这个负债界点,不仅难以偿还债务,而且还可能因支付利息过大而发生亏损。负债界点的计算公式为:


设某公司销售收入3000万元,销售利润率8%,负债年利率10%,其负债界点==2400万元。负债额如超过2400万元,公司就要发生亏损。这个2400万元,再扣除银行贷款等其他负债额,即是该公司可发行债券的最大额度。
☚ 筹资风险权衡   短期证券筹资 ☛
00001142
随便看

 

离鸟网收录3541549条中英文词条,其功能与新华字典、现代汉语词典、牛津高阶英汉词典等各类中英文词典类似,基本涵盖了全部常用中英文字词句的读音、释义及用法,是语言学习和写作的有利工具。

 

Copyright © 2004-2024 vtrois.com All Rights Reserved
更新时间:2026/4/21 20:18:20