网站首页  词典首页


请输入您要查询的字词:

 

字词 谷氨酸及其代谢
类别 中英文字词句释义及详细解析
释义
谷氨酸及其代谢

谷氨酸及其代谢

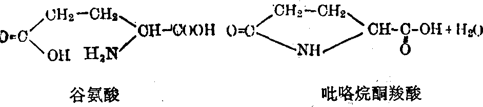
谷氨酸的分子量为147.1,熔点为247~249℃(分解),[α]25D=+12.0(浓度=2,水),是组成蛋白质的一种氨基酸,具有电离的酸性侧链,表现嗜水性。谷氨酸易发生环化转变成吡咯烷酮羧酸,即焦谷氨酸:
谷氨酸在一切谷类蛋白质内的含量特别高,通过三羧酸循环提供α酮戊二酸。α酮戊二酸可在谷氨酸脱氢酶与NADPH(辅酶Ⅱ)催化下直接与氨合成谷氨酸,也可在谷草转氨酶或谷丙转氨酶的催化下,由天冬氨酸或丙氨酸经转氨基作用生成谷氨酸;另外谷氨酸也可分别与脯氨酸及鸟氨酸(来自精氨酸)可逆地相互转变而产生。所以谷氨酸是营养上非必需氨基酸。当谷氨酸在谷氨酸脱氢酶和NAD (辅酶Ⅰ)催化下被脱氨基或在谷草转氨酶或谷丙转氨酶催化下转移出氨基而生成α酮戊二酸,进入三羧酸循环并通过糖异生途径生成糖,所以谷氨酸是重要的生糖氨基酸。
谷氨酸在不同的组织内(如肌、肝、脑等)通过谷氨酰胺合成酶的催化,能与NH3合成谷氨酰胺,此既是构成蛋白质的氨基酸,特别在脑组织又是氨的解毒产物,同时也是体内氨的储存和利用形式(见“谷氨酰胺及其代谢”条)。
谷氨酸经乙酰谷氨酸合成酶的催化与乙酰CoA合成为乙酰谷氨酸,是线粒体氨甲酰磷酸合成酶的辅助因子(参与尿素合成)。
γ氨基丁酸(GABA)是谷氨酸的脱羧产物,特别在脑组织有很高浓度,也出现在血液内,其生理功能被认为是抑制性神经递质,临床上输入松果素以发挥的抗痉挛作用和催眠功效可能是通过GABA实现的。GABA的分解代谢,是通过GABA转氨酶及醛脱氢酶转变成琥珀酸而进入三羧酸循环,形成GABA旁路。


谷氨酸还参与不依赖核蛋白体以合成重要的三肽; 谷胱甘肽及促甲腺激素释放因子。谷胱甘肽在结构上表现的特点即谷氨酸是以γ羧基实现肽键结合的。
谷胱甘肽(GSH)普遍游离出现于动物组织内,如肝、mmol/L。谷胱甘肽在生理pH中其SH基处于电离状况,可充作还原剂,保护酶蛋白、膜蛋白等的功能SH基。
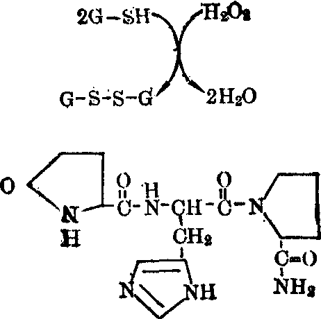
谷胱甘肽还充作多种酶的辅酶或辅助因子,例如谷胱甘肽过氧化物酶即利用GSH消除了H2O2
促甲腺激素释放激素(TRH) 即焦谷氨酰组氨酰脯氨酰胺,其结构的特点在其分子的 N-末端谷氨酸转变成焦谷氨酸及C末端脯氨酸的酰胺化。
TRH静脉注射或口服均促进垂体前叶释放和合成促甲腺激素。体外实验证明TRH也对垂体前叶切片起作用。除了下丘脑外TRH也出现于大脑、脊髓以及脑脊液中,可能也是一种神经递质,不仅对动物起兴奋作用,临床上也用于治疗精神抑郁症。

☚ 天门冬氨酰胺及其代谢   谷氨酰胺及其代谢 ☛
00000639
随便看

 

离鸟网收录3541549条中英文词条,其功能与新华字典、现代汉语词典、牛津高阶英汉词典等各类中英文词典类似,基本涵盖了全部常用中英文字词句的读音、释义及用法,是语言学习和写作的有利工具。

 

Copyright © 2004-2024 vtrois.com All Rights Reserved
更新时间:2026/4/18 9:37:06