网站首页  词典首页


请输入您要查询的字词:

 

字词 内涵报酬率
类别 中英文字词句释义及详细解析
释义 内涵报酬率

使投资方案净现值为零的贴现率。

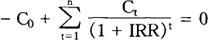
用这种报酬率对投资方案的现金流入量与现金流出量进行贴现,能使现金流入量现值总额与现金流出量现值总额相等。其计算公式为:

式中:IRR——内涵报酬率;C0——初始投资额;Ct——第t年现金净流量;n——投资项目寿命周期。

内涵报酬率指标的决策标准是,如果投资项目的内涵报酬率大于企业所要求的最低收益率标准,接受该项目;如果内涵报酬率低于企业所要求的最低收益率标准,放弃该项目。如果多个互斥投资项目并存时,选取内涵报酬率最大的项目。

内涵报酬率被普遍认为是项目投资的盈利率,反映了投资的使用效率,概念清晰明确,易于理解,目前在企业投资决策中得到广泛的运用。其缺点是计算比较麻烦。

随便看

 

离鸟网收录3541549条中英文词条,其功能与新华字典、现代汉语词典、牛津高阶英汉词典等各类中英文词典类似,基本涵盖了全部常用中英文字词句的读音、释义及用法,是语言学习和写作的有利工具。

 

Copyright © 2004-2024 vtrois.com All Rights Reserved
更新时间:2026/4/18 22:34:09