关于颁布《中国人寿保险业经验生命表(2000-2003)》的通知
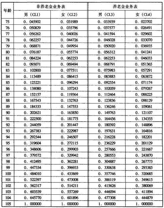
各寿险公司、各养老保险公司、各健康保险公司: 现颁布《中国人寿保险业经验生命表(2000—2003)》,并将有关事项通知如下: 中国第二张寿险业生命表命名为《中国人寿保险业经验生命表(2000—2003)》,英文名称为《China Life Insurance Mortality Table(2000—2003)》,简称:CL(2000—2003)。其中,非养老金业务表两张,养老金业务表两张(见附件),分别是: 1、非养老金业务男表,简称CL1(2000—2003); 2、非养老金业务女表,简称CL2(2000—2003); 3、养老金业务男表,简称CL3(2000—2003); 4、养老金业务女表,简称CL4(2000—2003)。 附件:中国人寿保险业经验生命表(2000—2003) 二〇〇五年十二月十九日 附件 中国人寿保险业经验生命表(2000—2003    |