关于原子跃迁条件
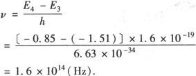
1.光子和原子作用而使原子在定态之间跃迁时,必须恰好满足条件: hv=E初—E末. 2.电离:原子一旦电离,原子结构被破坏,而不再遵守有关原子结构理论,如基态氢原子的电离能为13.6eV,只要能量大于或等于13.6eV的光子都能使基态的氢原子收而电离,只不过入射光子的能量越大,原子电离后产生的自由电子的动能越大,不论原子处于什么状态,只要入射光子的能量大于该状态的电离能就可使之实现跃迁. 3.实物粒子和原子碰撞情况 由于实物粒子的动能可全部或部分被原子吸收,所以只要入射粒子的动能大于或等于原子某两定态能之差,也可以使原子受激发而向较高能级跃迁. 例 如下图所示给出氢原子最低的4个能级,氢原子在这些能级之间跃迁所辐射的光子的频率最多有__种,其中最小的频率等于__Hz(保留两个数字).  分析 氢原子处于最低的4个能级为n=1、2、3、4,只有从高能级向低能级跃迁,才辐射光子,由数学知识得  由En—En—1=hv,可知能级之间能量差值越小,辐射光子的频率越低, 由上图可知,从n=4跃迁到n=3,辐射能量最少:  答 6,1.6×1014. |