网站首页  词典首页


请输入您要查询的字词:

 

字词 被动抗病因素
类别 中英文字词句释义及详细解析
释义

被动抗病因素factors of passive resistance

植物固有的抗病机制。植物对病原物侵染有阻碍作用的结构和化学特征,但不包括植物受病原物侵染后才发生的防卫反应。
结构因子 植物细胞壁的结构成分,如角质层、蜡质、木栓质、木质素及其他特殊的物质和气孔结构等。
角质层 由非水溶性的生物聚脂膜——角质包埋于疏水性蜡质中构成,位于表皮细胞表面,紧贴细胞壁的果胶层。角质是由C16和C18的羟基和环氧脂肪酸组成的聚脂。前者为二羟棕榈酸,后者主要是ω-羟基油酸、ω-羟基-9、10-环氧硬脂酸、9、10、18三羟基硬脂酸和C-12位含有另一双键的类似物。在多数植物器官中,角质由以上各种单体组成,而在迅速生长的器官中主要由C16族单位组成。单体之间主要通过伯醇酯键连接,少数以仲醇酯键连接。角质层的厚度一般为0.5~14微米,在气孔和叶肉细胞间隙处一般为0.15~1.0微米。角质层的抗病作用首先在于它作为化学和物理屏障防止真菌孢子萌发和穿透叶片组织。角质层的厚度与抵挡真菌穿透组织的能力有关。某些植物如菊类植物和烟草等,其角质层含有抑制真菌生长的物质。此外,角质层的疏水性可以防止在植物表面形成水膜,使水滴中的真菌孢子不易在叶表滞留。同时,角质层还可防止细胞内营养成分向细胞外流失,不利于病原物在植物表面定殖(图1)。


图1 番茄对灰葡萄孢抗病品种(A)和感病品种(B)的表层切面图
(角质层涂以黑色)
(引自Ainsworth,Oyler and Read,1938)


蜡质 分布于植物地上部组织器官的最外层,凹凸不平并有各种形状突起。成分是多种非极性C20~C32的脂肪族化合物。其作用为防止水分从叶表蒸发和病原物在叶表粘附。
栓质 主要分布在植物的根、茎、支干和块茎的表皮组织中。与角质相似,是羟基脂肪酸的聚合物。在栓化细胞中也含蜡质,因此也是一个疏水的环境。栓质在防止病菌侵染中起屏障作用。伤口表面细胞壁的栓化一方面防止伤口扩展,一方面形成阻止病菌从伤口侵入的屏障。在病原真菌穿透栓质层的过程中,已发现有些能产生角质酶使栓质在酯链部位水解。水解过程中产生的某些化合物,如环氧酸化合物有抗真菌作用。
木质素 遍布于木质部的中间层、初生壁和次生壁中,也在厚壁组织、维管束鞘细胞和表面细胞中发现。是芳香族酚类物质的聚合物,由三种羟基肉桂醇(芥子醇、香豆醇和松柏醇)在过氧化物酶的作用下脱氢聚合而成。由于木质素在纤维素微纤丝间的沉积而增加细胞壁的坚固性。可以在许多方面干扰病原物侵染和病害的发生发展。❶由于木质素的阻隔作用干扰了植物中水分和营养物质向病原物运送以及真菌毒素和降解酶向植物健康细胞和组织的移动。
❷由于芽管或菌丝顶端细胞和寄主植物组织的木质化以及低分子量木质素酚类前体对真菌某些代谢产物的钝化作用而干扰真菌的正常生长直至停止侵入。
❸由于植物木质化细胞使病原物在植物组织中的扩展速度减慢使植物有足够时间合成并积累植物保卫素从而促使真菌发育局限化和局部病斑的形成。
❹木质化干扰病毒在细胞间移动使某些寄主产生局部病斑。
硅 是植物表皮木质化组织的成分。在土壤中,硅以H4SiO4形式存在,植物吸收后以无定形水合物形式SiO·2H2O沉积在细胞周围或细胞壁内,硅能增加植物组织器官强度,减少蒸腾。在增强植物抗病性方面,已证明土壤中硅含量与水稻对稻瘟病抗性有明显相关性。
二价离子 Ca2+和Mg2+在一定程度上与植物抗病性有关。Ca2+作为细胞壁结构的交联剂与植物对立枯病(R solania)的抗性有关,而且对病原菌分泌的酶也有抑制作用。
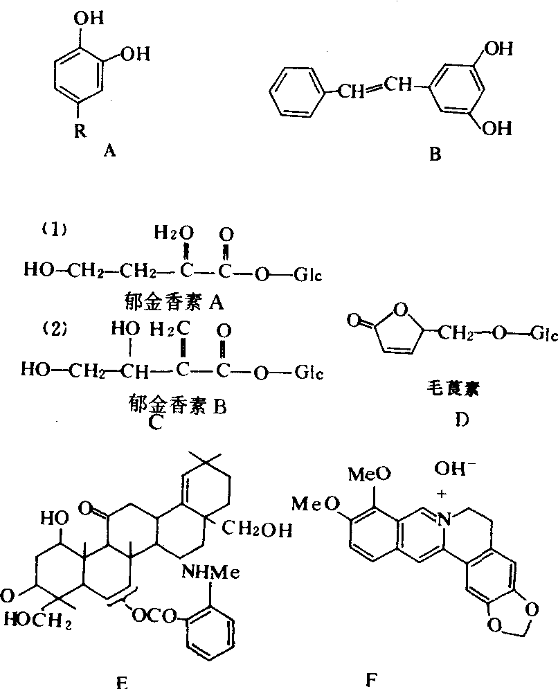
化学因子 包括植物中天然的抗生物质如酯类化合物、生物碱以及水解酶类(图2)。

图2 植物中若干被动抗性化学因子

A.儿茶酚(R=H),原儿茶酸(R=CO2);

B.赤松素;C.(1)郁金香素A;(2)郁金香素B (Glc=葡萄糖); D.毛茛素(葡萄糖);E.燕麦素;F.小檗碱


酚类化合物 植物中酚类化合物的含量与抗病性有关。经典的事例是有色洋葱对葱炭疽病菌的抗病性。鳞片中积累有黄酮类物质、花青素以及儿茶酚和原儿茶酸等酚类化合物。水溶性的酚类化合物对病原真菌孢子萌芽和侵人有抑制作用。苹果和其他作物叶片蜡质层中的酚酸对白叉丝单囊壳侵染丝的侵入也有抑制作用。此外,在抗根病豌豆品种的种皮中酚类化合物的含量比感病品种高。
生物碱 已证明与植物抗病性有关的生物碱有α-番茄素、燕麦镰孢素、小檗碱和大麦芽碱等。它们与病害抗性的关系主要表现为对病原真菌孢子萌发和菌丝生长的抑制作用,对病原物产生的酶或毒素的抑制和钝化作用。
糖苷类化合物 有些糖苷类生物碱本身就有抗菌作用,如α-番茄素(苷)对番茄上的许多病原真菌具有强烈毒性,因此使绿色果实不受茄类镰孢的为害。有些糖苷类化合物,如葡糖苷是植物有毒不饱和内酯的前体,植物受伤后在β-葡糖苷酶作用下产生有毒内酯,研究清楚的有毒内酯有毛茛素和郁金香苷。另外,韭蒜油和芥子油是含硫糖苷,在酶作用下转变为蒜素和异硫氰酸。后两种化合物已证明具有很强的抗真菌和细菌特性。一些含氰糖苷经几步酶解后产生有毒的氰氢酸。已发现70多科约800余种植物具有产氰能力。
水解酶类 植物中的葡聚糖酶和几丁质酶有降解病原真菌细胞壁上的葡聚糖和几丁质组分的能力,从而使真菌菌丝在植物组织中的扩展受阻。
随便看

 

离鸟网收录3541549条中英文词条,其功能与新华字典、现代汉语词典、牛津高阶英汉词典等各类中英文词典类似,基本涵盖了全部常用中英文字词句的读音、释义及用法,是语言学习和写作的有利工具。

 

Copyright © 2004-2024 vtrois.com All Rights Reserved
更新时间:2026/4/20 15:28:15