网站首页  词典首页


请输入您要查询的字词:

 

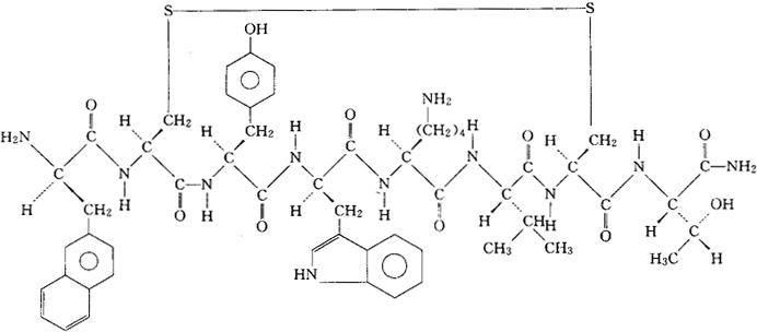
字词 兰瑞肽
类别 中英文字词句释义及详细解析
释义 兰瑞肽

C54H69N11O10S2=1096.33

CAS-108736-35-2

3-(2-萘基)-D-丙氨酰-L-半胱酰-L-酪氨酰-D-色氨酰-乙-赖氨酰-L-缬氨酰-L-半胱氨酰-L-苏氨酰胺,环(2→7)二硫化物。

3-(2-Naphthyl)-D-alanyl-L-cysteinyl-L-tyrosyl-Dtryptophyl-L-lysyl-L-valyl-L-cysteinyl-L-threoninamide,cyclic(2→7)disulfide.

抗肿瘤药。

Lanreoride. INN,USAN.

随便看

 

离鸟网收录3541549条中英文词条,其功能与新华字典、现代汉语词典、牛津高阶英汉词典等各类中英文词典类似,基本涵盖了全部常用中英文字词句的读音、释义及用法,是语言学习和写作的有利工具。

 

Copyright © 2004-2024 vtrois.com All Rights Reserved
更新时间:2026/4/19 11:07:17