网站首页  词典首页


请输入您要查询的字词:

 

字词 兰丝菌素[中]
类别 中英文字词句释义及详细解析
释义 兰丝菌素[中]

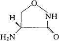
C3H6N2O2=102.09

CAS-68-41-7

由链丝菌种的一种丝菌Streptomyces orchidacuss或Streptomyces garyphalus培养液中提取制得。

(+)4-氨基-3-异噁唑烷酮。

(+)4-Amino-3-isoxazolidinone.

抗生素类药。用于结核菌的感染。

环丝氨酸。

Cycloserine(台),Orientomycin,Oxamycin,Seromycin.

环丝氨酸胶囊(兰丝菌素胶囊)。

INN,BAN,BP,DCF,DCIT,IP,JP,NFN,USAN,USP,MI.

随便看

 

离鸟网收录3541549条中英文词条,其功能与新华字典、现代汉语词典、牛津高阶英汉词典等各类中英文词典类似,基本涵盖了全部常用中英文字词句的读音、释义及用法,是语言学习和写作的有利工具。

 

Copyright © 2004-2024 vtrois.com All Rights Reserved
更新时间:2026/4/18 8:12:04