网站首页  词典首页


请输入您要查询的字词:

 

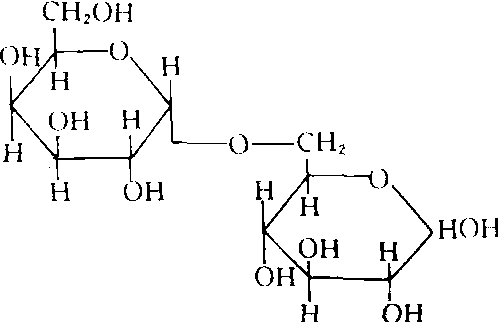
字词 蜜二糖
类别 中英文字词句释义及详细解析
释义

蜜二糖melibiose

D-吡喃半乳糖基与D-吡喃葡萄糖基通过al→6糖苷键连接而成的还原性双糖。结构式如左。存在于许多植物的溢泌物、某些植物的花蜜和小麦胚乳中。是棉子糖被植物转化酶水解生成的产物之一。

随便看

 

离鸟网收录3541549条中英文词条,其功能与新华字典、现代汉语词典、牛津高阶英汉词典等各类中英文词典类似,基本涵盖了全部常用中英文字词句的读音、释义及用法,是语言学习和写作的有利工具。

 

Copyright © 2004-2024 vtrois.com All Rights Reserved
更新时间:2026/4/18 19:47:14