公式法
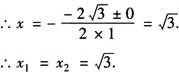
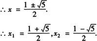
用求根公式解一元二次方程的方法称为公式法. 注意 1.一般地,对于一元二次方程ax2+ bx+c=0(a≠0),当b2-4ac≥0时,它的根x= ,这个式子称为一元二次方程的求根公式. 2.公式法的意义在于,对于任意的一元二次方程,只要将方程化为一般形式,就可以直接代入公式求解. 3.公式法解一元二次方程的步骤: (1)把方程化为一般形式. (2)确定a,b,c的值. (3)若b2-4ac≥0,代入公式求解. 若b2-4ac<0,说明方程无实数解. 4.当b2-4ac>0时,方程有两个不同的根 当b2-4ac=0时,方程有两个相同的根 当b2-4ac<0时,方程无实数解. 例1 用公式法解方程: . 解 ∵a=1, ,c=3, ∴ .  [解析] 当b2-4ac=0时,一元二次方程有两个相等的实数根,不能误认为只有一个根. 例2 用公式法解方程: x2-x-1=0. 解 ∵a=1,b=-1,c=-1, ∴b2-4ac =(-1)2-4×1×(-1)=5.  [解析] 当b2-4ac>0时,一元二次方程有两个不相等的实数根 例3 用公式法解方程: 3x2+7x+5=0. 解 ∵a=3,b=7,c=5, ∴b2-4ac=72-4×3×5 =49-60=-11<0. ∴方程无实数根. [解析] 当b2-4ac<0时,一元二次方程无实根. 例4 关于x的一元二次方程x2+(2k+1)x+k-1=0根的情况是( ). A.有两个不相等实数根 B.有两个相等实数根 C.没有实数根 D.根的情况无法判定 答 A. [解析] ∵b2-4ac=(2k+1)2-4(k1)=4k2+5>0,从而这个方程有两个不相等的实数根,选A. |