网站首页  词典首页


请输入您要查询的字词:

 

字词 公式与E=BLv的区别与联系
类别 中英文字词句释义及详细解析
释义 公式与E=BLv的区别与联系

我们知道是法拉第电磁感应定律的原始表达式,而后者E=BLv是由在一定条件下推导出来的,在处理某些电磁感应问题时不能随意使用,它们的区别与联系是:

1.研究对象不同,E=△Φ/△t的研究对象是一个回路,而E=BLv的研究对象是在磁场中运动的一段导体.

2.物理意义不同,用E=△Φ/△t求得的是△t时间内的平均感应电动势,而E=BLv求得的一般是瞬间感应电动势.

3.如果B、L、v三者大小、方向均不变且相互垂直时,在△t时间内导体匀速切割磁感线时产生平均感应电动势才和它在任一时刻产生的瞬时感应电动势相等.

例1 如图所示,导线全部为裸导线,半径为r的圆内有垂直于圆平面的匀强磁场,磁感应强度为B,一根长度大于2r的导线MN以速率v在圆环上无摩擦地自左端匀速滑到右端,电路的固定电阻为R,其余电阻不计,求MN从圆环的左端滑到右端的过程中电阻R上的电流强度的平均值和通过电阻R的电荷量.

分析 MN做切割磁感线运动,有效切割长度在不断变化,用E=BLv难以求得平均感应电动势,从另一角度看,回路中的磁通量不断变化,利用法拉第电磁感应定律求平均感应电动势.

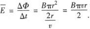
解 从左端到右端磁通量的变化量

△Φ=B△S=Bπr2

从左到右的时间:

根据法拉第电磁感应定律,平均感应电动势

所以,电路中平均感应电流

例2 如下图所示,匀强磁场的磁感应强度为B(T),在垂直于磁场方向的平面内,有一个长度为R(m)的金属棒OA绕垂直于纸面的转动轴O沿逆时针方向以角速度ω(rad/s)匀速转动,试求金属棒OA转动时所产生的感应电动势的大小.

分析 金属棒绕O点转动,但棒上各点的线速度不同,可考虑用平均线速度由导体切割磁感线时的公式求解,也可直接由法拉第电磁感应定律公式来求

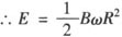
解 设经△t时间,转动的角度为θ=ω△t,扫过的面积为扇形AOA′的面积S=1/2θR2=1/2ωR2·△t单位时间内扫过的面积为,所以OA产生的感应电动势为E=1/2BωR2

因为从O到A,各点速率大小均匀分布,v=1/2v4=1/2ωR.

随便看

 

离鸟网收录3541549条中英文词条,其功能与新华字典、现代汉语词典、牛津高阶英汉词典等各类中英文词典类似,基本涵盖了全部常用中英文字词句的读音、释义及用法,是语言学习和写作的有利工具。

 

Copyright © 2004-2024 vtrois.com All Rights Reserved
更新时间:2026/4/18 15:43:47