网站首页  词典首页


请输入您要查询的字词:

 

字词 葡萄糖酸内酯
类别 中英文字词句释义及详细解析
释义

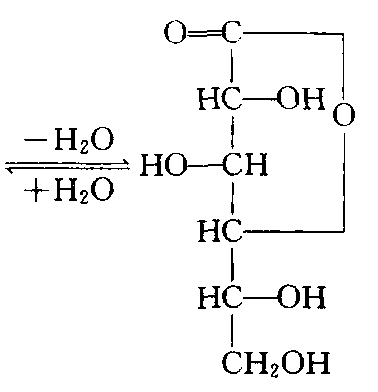
葡萄糖酸内酯gluconolactone

葡萄糖酸的羧基与分子内的羟基之间脱水而成的酯。与第5位(δ位)碳原子上的羟基之间脱水而成的酯,称为葡萄糖酸-δ-内酯;与第4位(γ-位)碳原子上的羟基之间脱水而成的酯,称为葡萄糖酸-γ-内酯。易溶于水,在水溶液中水解为葡萄糖酸,与δ及γ两种内酯成平衡混合物:

葡萄糖酸-δ-内酯

葡萄糖酸

葡萄糖酸-γ-内酯

其6-磷酸酯是葡萄糖在生物体内氧化分解(磷酸戊糖途径)的中间物。在食品加工中,作大豆蛋白或牛乳蛋白的凝固剂、肉类的防腐剂、糕点的疏松剂及色素的稳定剂。
随便看

 

离鸟网收录3541549条中英文词条,其功能与新华字典、现代汉语词典、牛津高阶英汉词典等各类中英文词典类似,基本涵盖了全部常用中英文字词句的读音、释义及用法,是语言学习和写作的有利工具。

 

Copyright © 2004-2024 vtrois.com All Rights Reserved
更新时间:2026/4/18 1:32:46