网站首页  词典首页


请输入您要查询的字词:

 

字词 菊糖
类别 中英文字词句释义及详细解析
释义

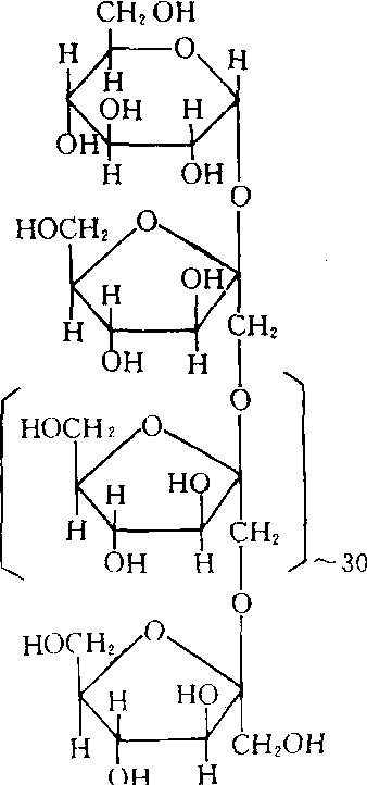
菊糖inulin

又称菊粉。果聚糖的主要类型之一。一般为30~35个D-呋喃果糖残基以β2→1糖苷键连结而成的线形分子,末端有一个蔗糖单位。是双子叶植物中主要非淀粉贮存性多糖。存在于菊科、桔梗科、萝藦科、龙胆科、半边莲科、报春花科、堇菜科和紫草科等植物中,以菊芋的根茎和大丽花的块根为最丰富。是制备高纯度D-果糖的原料。结构式见右。

菊糖

又称“菊粉”。一种多缩果糖,由果糖-1,2-糖苷键连结而成。存在于菊科植物的根及块茎中。微溶于冷水,易溶于热水。分子中除含果糖外,还有葡萄糖。具有还原性。

随便看

 

离鸟网收录3541549条中英文词条,其功能与新华字典、现代汉语词典、牛津高阶英汉词典等各类中英文词典类似,基本涵盖了全部常用中英文字词句的读音、释义及用法,是语言学习和写作的有利工具。

 

Copyright © 2004-2024 vtrois.com All Rights Reserved
更新时间:2026/4/19 6:09:24