网站首页  词典首页


请输入您要查询的字词:

 

字词 莠去津
类别 中英文字词句释义及详细解析
释义

莠去津atrazine

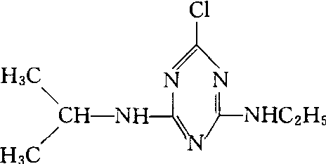
土壤兼茎叶处理氯三氮苯除草剂。又名阿特拉津。化学结构式:

1958年瑞士嘉基(Geigy)公司首先开发。
性能 纯品为无色无味结晶,熔点173~175℃,溶解度在27℃水中为700毫克/升,甲醇中为18000毫克/升,氯仿中为52000毫克/升。化学性质稳定,不燃、不爆、无腐蚀性,在碱性或酸性介质中加热才水解。对人、畜低毒。大鼠口服LD50为3080毫克/千克。
莠去津进入植物体内以根吸收为主,茎叶吸收略少,通过木质部传导到分生组织及叶部,干扰光合作用,使杂草死亡。在玉米等抗药性植物体内被苯并恶嗪酮酶解为无毒的羟基三氮苯而获得选择。其作用机制和选择原理与西马津同。因其水溶性大于西马津,其活性也高些,在土壤中的移动性也大些,易被雨水淋洗至深层,影响地下水质。因莠去津对动物有降低谷胱甘肽转移酶的活性,进而影响免疫系统; 还有它能损伤胃、肾、肝组织、遗传物质DNA等不良迹象,所以德国等国家已开始停用或限用。在土壤中可被微生物分解,残效期视用药量、土壤质地、雨量、温度等因素影响,施用不当,残效期可超过半年。
应用 适用于玉米、高粱、甘蔗、黍、葡萄、苹果园、苗圃、林地、橡胶园等,但桃树对其敏感。防除对象为一年生单、双子叶杂草,对田旋花等多年生杂草也有抑制作用。非耕地、公路、铁路线上可作灭生性除草,也可防治水生杂草及藻类。施用时期:作物杂草出苗前土壤处理和苗后早期茎叶兼土壤处理,作物地中防治一年生杂草1~1.5千克/公顷,非耕地灭生性除草5~10千克/公顷。为了扩大杀草谱及减少对后茬小麦作物的危害,常与甲草胺、丁草胺、草净津、伏草隆、乙草胺等混用。

莠去津atrazine

又称阿特拉津。三氮苯类内吸、选择性除草剂。化学名称:2-氯-4-乙氨基-6-异丙氨基-均-三氮苯。化学结构式如下。纯品为无色结晶固体,熔点173~175℃,20℃时蒸气压为4×10-5Pa,微溶于水,易溶于甲醇、氯仿等有机溶剂。在中性、微酸性和碱性下稳定,在较高温度时,强酸、强碱能使它水解。在土壤中易被雨水淋洗至较深土层。通过植物的根系吸收,传导到叶片,抑制希尔反应,植物缺绿饥饿死亡,也可被叶片吸收直接发生毒害。玉米、高粱等可使药剂羟基化而失去活性,因而有较强抗性。主要用于玉米、高粱田、果园、茶园、甘蔗田、苗圃及森林防火道,防除一年生单子叶和双子叶杂草。对人、畜低毒,大鼠急性口服LD50为3 080 mg/kg,兔急性经皮LD50为7 500 mg/kg。在土壤中残留期长,易对后茬敏感作物发生药害。

随便看

 

离鸟网收录3541549条中英文词条,其功能与新华字典、现代汉语词典、牛津高阶英汉词典等各类中英文词典类似,基本涵盖了全部常用中英文字词句的读音、释义及用法,是语言学习和写作的有利工具。

 

Copyright © 2004-2024 vtrois.com All Rights Reserved
更新时间:2026/4/18 20:52:38