网站首页  词典首页


请输入您要查询的字词:

 

字词 草枯醚
类别 中英文字词句释义及详细解析
释义

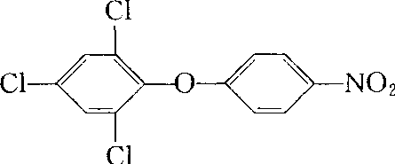
草枯醚chlornitrofen

二苯醚类触杀性除草剂。化学名称:2,4,6-三氯苯基-4′-硝基苯基醚。化学结构式如下。原药为黄褐色结晶状粉末,熔点107℃。107℃时蒸气压为46.66 Pa,几乎不溶于水,易溶于苯及甲苯,微溶于醇类。对酸、碱、热稳定。草枯醚在土壤表面形成药层,幼芽与药剂接触后渗入幼芽,经光活化后使杂草中毒死亡。水稻田使用防除稗草、莎草、丁香蓼、鸭舌草、节节菜、碱草、牛毛草、瓜皮草等一年生杂草。草枯醚对大鼠急性口服LD50>10 000 mg/kg,急性经皮LD50>5 000mg/kg,对鱼低毒。连续使用可能引起慢性致畸、致突变。

随便看

 

离鸟网收录3541549条中英文词条,其功能与新华字典、现代汉语词典、牛津高阶英汉词典等各类中英文词典类似,基本涵盖了全部常用中英文字词句的读音、释义及用法,是语言学习和写作的有利工具。

 

Copyright © 2004-2024 vtrois.com All Rights Reserved
更新时间:2026/4/21 8:20:38