全概率公式
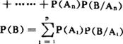
是指各分事件的概率为权数的加权平均概率。 设事件B能且只能与有限个两两互斥事件A1,A2,……An之一同时出现,则B的概率可按全概率公式计算: B=B(A1+A2+……+An)=BA1+BA2+……+BAn 且 P(A1)>0(i=1,2,……,n) 则全概率公式为   当诸P(A1)和P(B/A1)较易计算时,用此公式计算P(B)就较方便。全概率是通过把复杂事件分解为简单事件来求解概率问题。这里事件B的概率是BA1+BA2+……+BAn各分事件的概率和。例如,某仓库中有10箱同规格产品,这10箱中依次有5箱、2箱、3箱是甲厂、乙厂、丙厂所产,该3个厂的次品率依次为 , , 。从这10箱中任取1箱,再从中任取一件产品,求取得正品的概率。 按全概率公式计算为: 
|