网站首页  词典首页


请输入您要查询的字词:

 

字词 苄基腺嘌呤
类别 中英文字词句释义及详细解析
释义

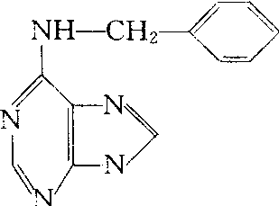
苄基腺嘌呤6-benzyladenine,6-BA

一种人工合成的细胞分裂素。分子式为C12H11N5,化学结构式如右。分子质量225.25 u。溶于稀碱、稀酸,不溶于乙醇。主要生理作用与激动素相似,且活性高于激动素,常用于组织培养中。

随便看

 

离鸟网收录3541549条中英文词条,其功能与新华字典、现代汉语词典、牛津高阶英汉词典等各类中英文词典类似,基本涵盖了全部常用中英文字词句的读音、释义及用法,是语言学习和写作的有利工具。

 

Copyright © 2004-2024 vtrois.com All Rights Reserved
更新时间:2026/4/19 13:54:42