芳烃的烷基化反应fangting de wanjihua fanying
亦称傅列德尔-克拉夫茨烷基化反应。在无水三氯化铝催化下,芳烃与卤代烃 (或烯烃、醇) 发生亲电取代反应,生成芳烃的烷基取代物。这是个可逆反

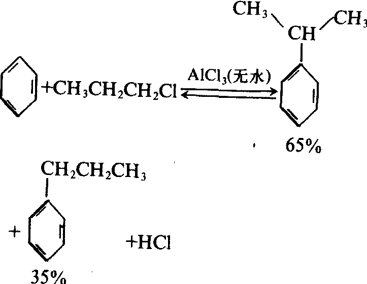
生成物烷基苯比苯更容易继续反应。因此,反应很难停留在一元取代上,得到的产物往往是混合物。若卤代烷的烷基是3个碳以上的直键,反应时常发生异构化。如:

若苯环上含有间位定位基时,使烷基化反应不易进行,甚至不反应。利用傅列德尔-克拉夫茨酰基化反应,苯环上可引入酰基而得到芳香酮,酰基化反应形成一元取代物,且不发生异构化。
