网站首页  词典首页


请输入您要查询的字词:

 

字词 全及成数
类别 中英文字词句释义及详细解析
释义 全及成数

“抽样成数”的对称。

指全及总体中具有某一标志的单位数在全及总体单位数中所占的比重。如工业生产中合格品占全部产品的比重。

具有某一标志的单位数p用1表示,而不具有这一标志的单位数q用0表示,一般合称为交替标志。

成数可计算平均数和均方差。

成数的平均数

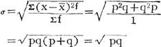
成数的均方差σ:

上式中成数的均方差就是具有某一标志的单位在总体中的比重和不具有这一标志的单位在总体中比重两者乘积的平方根。

随便看

 

离鸟网收录3541549条中英文词条,其功能与新华字典、现代汉语词典、牛津高阶英汉词典等各类中英文词典类似,基本涵盖了全部常用中英文字词句的读音、释义及用法,是语言学习和写作的有利工具。

 

Copyright © 2004-2024 vtrois.com All Rights Reserved
更新时间:2026/4/18 4:53:41