网站首页  词典首页


请输入您要查询的字词:

 

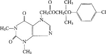
字词 克醋茶碱
类别 中英文字词句释义及详细解析
释义 克醋茶碱

C19H21ClN4O5=420.85

CAS-70788-27-1

1,2,3,6-四氢-1,3-二甲基-2,6-二氧嘌呤-7-醋酸的2-(对氯苯氧基)-2-甲基丙酯。

2-(p-Chlorophenoxy)-2-methylpropyl1,2,3,6-tetrahydro-1,3-dimethyl-2,6-dioxopurine-7-acetate.

血管扩张药。

Acefylline Clofibrol.

INN,USAN.

随便看

 

离鸟网收录3541549条中英文词条,其功能与新华字典、现代汉语词典、牛津高阶英汉词典等各类中英文词典类似,基本涵盖了全部常用中英文字词句的读音、释义及用法,是语言学习和写作的有利工具。

 

Copyright © 2004-2024 vtrois.com All Rights Reserved
更新时间:2026/4/18 18:26:51