网站首页  词典首页


请输入您要查询的字词:

 

字词 自主投资
类别 中英文字词句释义及详细解析
释义

自主投资Autonomous Investment

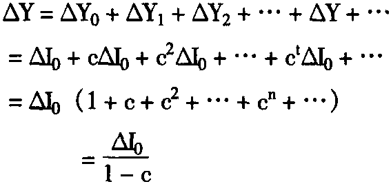
自主投资是指总投资中由外生变量决定的投资部分。在宏观经济学的收入-支出模型中自主投资是指不取决于收入变动或消费水平的变动的那部分投资,它是由心理因素、财政原因或技术进步等经济以外诸因素的改变所引起的投资,如: 采用新技术,人口增长和市场扩大,出口增加,或是政府为了某种目的进行一项公共投资等所引起的投资。与自主投资相对应的投资是引致投资 (Induced investment)。凯恩斯学派认为投资需求主要受生产者对其产品未来需求的预期支配,即自主投资是总投资中很重要的部分,不管现时的收入和利率水平如何,如果预期很悲观,自主投资不足,总的投资需求也会不足。自主投资通过投资乘数直接地和间接地影响国民收入的变动。在一个简单的二部门的国民收入决定模型中,设消费C=C0+cY,其中C0为自发消费,c为边际消费倾向; 设总投资中只包括自主投资,I=I0。如果自主投资增加ΔI0,在国民经济模型中对国民收入总量产生连锁反应如下:ΔI0引起初始收入增加ΔY0=ΔI0,收入增加ΔYt通过边际消费倾向C引致消费增加ΔCt,消费增加产生新的收入增量ΔYt+1:

ΔCt=cΔYt
ΔYt+1=ΔCt t=0,1,2,…

于是ΔYt+1=cΔYt=c2ΔYt-1=…=ct+1ΔY0=ct+1ΔI0
当新均衡建立时,国民收入总增量为:

由此可见,自主投资的变动通过乘数的作用引起均衡国民收入成倍的变动。如果C=0.8,则ΔY=5ΔI0,即自主投资增加所直接与间接地引起的国民收入的增加是自主投资增加量的5倍。

自主投资Autonomous Investment

见“自发投资”。

自主投资

自主投资autonomous investment

不依赖收入水平或消费水平变化的资本投资。自主投资与引致投资相反,后者是一种依赖收入水平或消费水平变化的投资。开发新产品和发明新技术是影响自主投资的重要因素。此外,社会的、心理的和政治因素的变化所引起的投资也属于自主投资的范畴。公共投资是自主投资的重要例子。

☚ 引致投资   资本边际效率 ☛
00000281
随便看

 

离鸟网收录3541549条中英文词条,其功能与新华字典、现代汉语词典、牛津高阶英汉词典等各类中英文词典类似,基本涵盖了全部常用中英文字词句的读音、释义及用法,是语言学习和写作的有利工具。

 

Copyright © 2004-2024 vtrois.com All Rights Reserved
更新时间:2026/4/20 19:17:05