网站首页  词典首页


请输入您要查询的字词:

 

字词 克林霉素
类别 中英文字词句释义及详细解析
释义 克林霉素

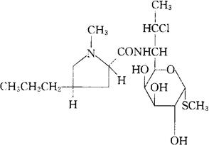
C18H33ClN2O5S=424.98

CAS-18323-44-9

(2S-反式)甲基7-氯-6,7,8-三脱氧-6-[[(1-甲基-4-丙基-2吡咯烷基)羰基]氨基]-1-硫代-L-苏α-D-辛吡喃半乳糖甙。

L-threo-α-D-Galacto-octopyranoside, methyl 7-chloro-6,7,8-trideoxy-6-[[(1-methyl-4-propyl-2-pyrrolidinyl)carbonyl]-amino]1-thio-,(2S-trans)-.

甲基7-氯-6,7,8-三脱氧-6-(1-甲基-反式-4-丙基-2-吡咯烷甲酰胺基)-1-硫代-L-苏-α-D-辛吡喃甙半乳糖甙。

Methyl 7-chloro-6,7,8-trideoxy-6-(1-methyl-trans4-propyl-2-pyrrolidinecarboxamide)-1-thio-L-threoα-D-galacto-octopyranoside.

7(S)-氯-7-脱氧林肯霉素。

7-(S)-Chloro-7-deoxylincomycin.

抗生素类药。

氯洁霉素,氯林霉素,氯林可霉素。

Clindamycin,U-21,251,Clinimycin,Cleocin,Dalacin C.

INN,BAN,USAN.

随便看

 

离鸟网收录3541549条中英文词条,其功能与新华字典、现代汉语词典、牛津高阶英汉词典等各类中英文词典类似,基本涵盖了全部常用中英文字词句的读音、释义及用法,是语言学习和写作的有利工具。

 

Copyright © 2004-2024 vtrois.com All Rights Reserved
更新时间:2026/4/17 20:16:14