网站首页  词典首页


请输入您要查询的字词:

 

字词 克拉布丁
类别 中英文字词句释义及详细解析
释义 克拉布丁

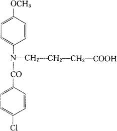
C18H18ClNO4=347.80

CAS-30544-61-7

4-[对-氯-N-(对-甲氧苯基)苯甲酰氨基]丁酸。

4-[ p-Chloro-N-(p-methoxyphenyl)benzamido]butyric acid.

4-[(氯苯甲酰)(对-甲氧苯基)氨基]丁酸。

4-[(Chlorobenzoyl)(4-metho xyphenyl)amino]butanoic acid.

抗胆碱药,利胆药。

二芳丁酸。

Clanobutine,Bykahepar.

INN,USAN,MI.

随便看

 

离鸟网收录3541549条中英文词条,其功能与新华字典、现代汉语词典、牛津高阶英汉词典等各类中英文词典类似,基本涵盖了全部常用中英文字词句的读音、释义及用法,是语言学习和写作的有利工具。

 

Copyright © 2004-2024 vtrois.com All Rights Reserved
更新时间:2026/4/18 16:01:19