网站首页  词典首页


请输入您要查询的字词:

 

字词 腺苷二磷酸
类别 中英文字词句释义及详细解析
释义

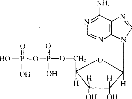
腺苷二磷酸adenosine diphosphate,ADP

又称二磷酸腺苷。一种高能磷酸化合物。由二个磷酰基以焦磷酸键相连,再通过磷酸酯键与腺苷51-C连接而成。结构式如下。可水解产生腺苷一磷酸(AMP)和磷酸,反应的标准自由能变化为—27.2 kJ·mol-1。在生物体内,可由腺苷三磷酸(ATP)水解或磷酰基转移脱去一个磷酸后生成。在一般组织中又可经底物水平磷酸化和氧化磷酸化,在光合组织中还可经光合磷酸化,再转变为ATP。

随便看

 

离鸟网收录3541549条中英文词条,其功能与新华字典、现代汉语词典、牛津高阶英汉词典等各类中英文词典类似,基本涵盖了全部常用中英文字词句的读音、释义及用法,是语言学习和写作的有利工具。

 

Copyright © 2004-2024 vtrois.com All Rights Reserved
更新时间:2026/4/19 16:16:06