网站首页  词典首页


请输入您要查询的字词:

 

字词 腺苷三磷酸
类别 中英文字词句释义及详细解析
释义

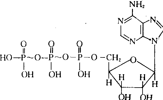
腺苷三磷酸adenosine triphosphate,ATP

又称三磷酸腺苷。一种最重要的高能磷酸化合物。由三个磷酰基以焦磷酸键相连,再通过磷酸酯键与腺苷51-C连接而成。结构式如下。分子中含二个高能磷酸键,具有较高的磷酰基转移势能,水解或磷酰基转移时可产生大量的自由能。水解为ADP和磷酸时,反应的自由能变化为-30.5 kJ·mol-1 ;水解为腺苷一磷酸(AMP)和焦磷酸时,反应的自由变化为-31.8 kJ·mol-1。在生物体内,其水解放能反应常与吸能反应偶联,推动吸能反应的进行。直接为生物合成、膜的主动运输、肌肉收缩、生物运动、生物发光等生命活动提供能量。在体内,可通过底物水平磷酸化、氧化磷酸化以及光合磷酸化,从ADP合成。可作为药物用于医疗保健。

随便看

 

离鸟网收录3541549条中英文词条,其功能与新华字典、现代汉语词典、牛津高阶英汉词典等各类中英文词典类似,基本涵盖了全部常用中英文字词句的读音、释义及用法,是语言学习和写作的有利工具。

 

Copyright © 2004-2024 vtrois.com All Rights Reserved
更新时间:2026/4/18 11:13:20