网站首页  词典首页


请输入您要查询的字词:

 

字词 腺苷一磷酸
类别 中英文字词句释义及详细解析
释义

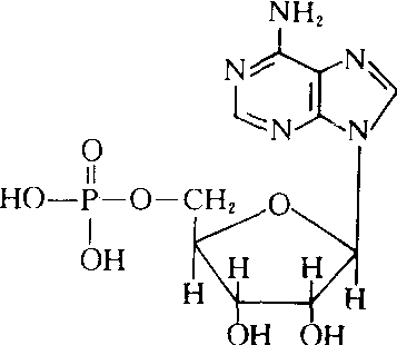
腺苷一磷酸adenosine monophosphate,AMP

又称一磷酸腺苷、5′-腺苷酸。由一个磷酰基通过磷酸酯键与腺苷5′-C连接而成。结构式如右。在生物体内,可由腺苷三磷酸(ATP)分解脱去二个磷酸产生;也可经腺苷酸激酶催化与ATP反应,转变为腺苷二磷酸(ADP)。是核糖核酸(RNA)的组成单位之一。

随便看

 

离鸟网收录3541549条中英文词条,其功能与新华字典、现代汉语词典、牛津高阶英汉词典等各类中英文词典类似,基本涵盖了全部常用中英文字词句的读音、释义及用法,是语言学习和写作的有利工具。

 

Copyright © 2004-2024 vtrois.com All Rights Reserved
更新时间:2026/4/20 19:53:07