网站首页  词典首页


请输入您要查询的字词:

 

字词 腐殖化作用
类别 中英文字词句释义及详细解析
释义

腐殖化作用humification

动、植物残体在微生物作用下,通过生物化学和化学作用,变为腐殖物质的过程。它包括动、植物和微生物细胞内的各种高分子和低分子组成分及其代谢产物的分解和腐殖物质的合成两个主要过程。
动、植物残体的分解 动、植物体内所有各组成分,包括木质素、碳水化合物和蛋白质等,在微生物的作用下将转变为较简单的单体及其代谢产物。在这些单体代谢的过程中,部分碳转变为二氧化碳,部分碳被利用来合成微生物细胞。蚯蚓等土壤动物在此分解过程中起着将动、植物残体粉碎以利于微生物分解的作用。不同组成分因性质不同而分解速度各异。单糖、氨基酸、大多数蛋白质和半纤维等分解最快,纤维次之,木质素较慢。各主要高分子组成分分解的中间产物和最终产物如下:
蛋白质 在水解蛋白酶的作用下,蛋白质水解为多肽,最后水解为氨基酸。氨基酸在脱氨基酶的作用下脱氨,生成氨和有机酸。不同有机酸通过不同途径最后矿化为二氧化碳。
多糖 在纤维素酶、木聚糖酶等多种水解酶的作用下,多糖水解为低聚糖,最后水解为单糖。单糖转化为丙酮酸。在好气条件下,后者最后矿化为二氧化碳和氢。在嫌气条件下,部分丙酮酸经由甲酸和乙酸变为二氧化碳和甲烷。
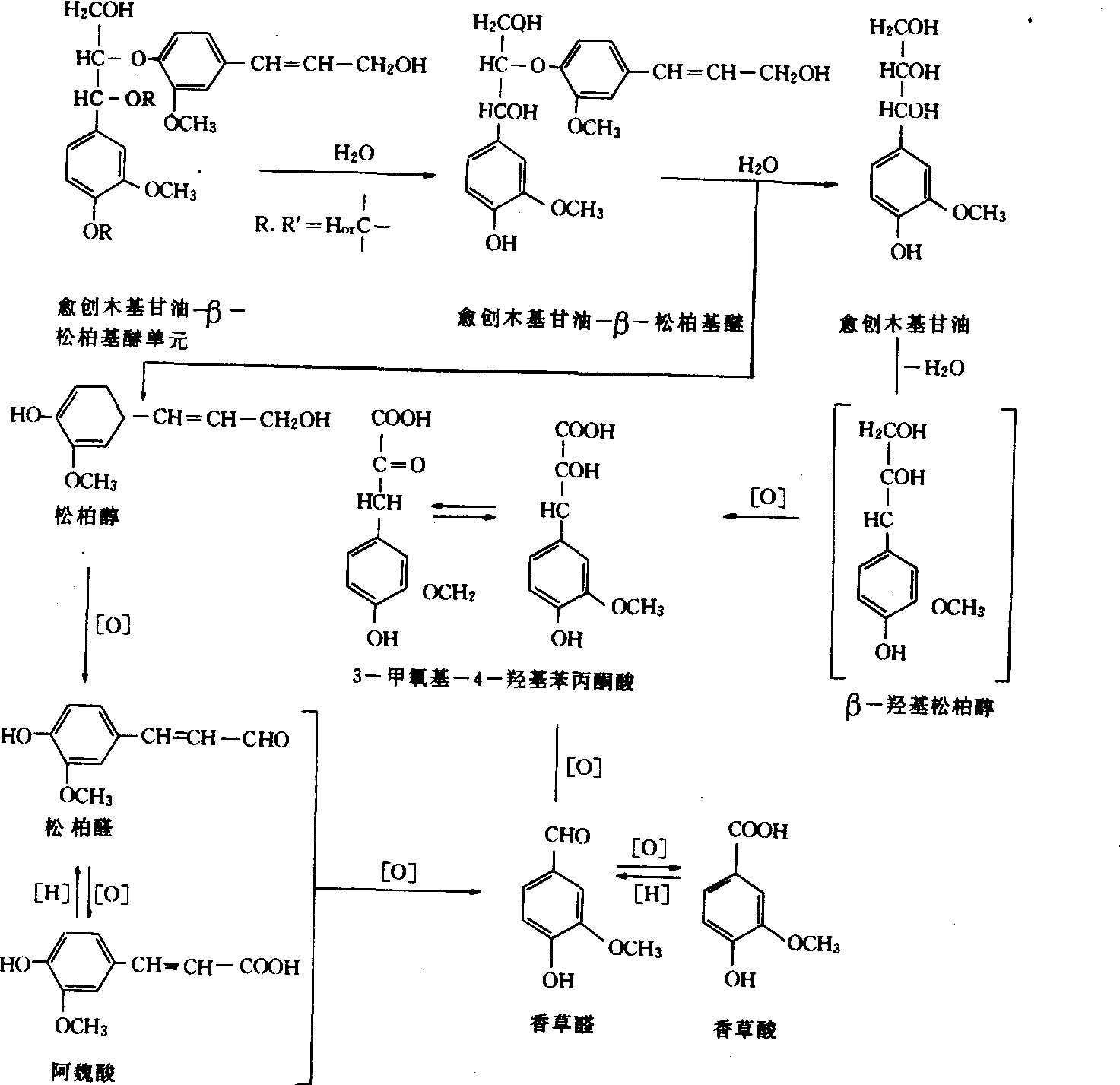
木质素 在真菌胞外酶的作用下,木质素首先降解为愈创木甘油-β-松柏基醚、脱氢二松柏基醚和dl-松脂醇。这些醚和醇进一步降解为各种苯丙烷(C6~C3)单体。例如,愈创木基甘油-β-松柏基醚进一步降解后生成愈创木基甘油、松柏醇、松柏醛、阿魏酸等结构相似的化合物(图1)。这些苯丙烷单体,通过支链的进一步氧化、脱甲氧基以及在苯环上引入


图1 木质素的分解历程

新的羟基等反应,将转变为各种低分子的芳族酸和酚等。例如,松柏醇和对-羟基肉桂醛可进一步转化为香草酸、咖啡酸、对-羟基苯甲酸、鞣酸、原儿茶酸、苯三酚等。低分子的芳族酸和酚通过苯环裂断,变为低分子脂族化合物,最后矿化为二氧化碳。
腐殖物质的合成 已知的、非特殊本性的化合物在酶或土壤中无机组成分的接触作用下,通过包括自由基在内的多种反应,形成一种活细胞内都没有的、棕至褐色的天然有机高分子化合物的过程。这一过程与动、植物残体分解过程伴随进行。柯诺诺娃(M.M.Kononova)指出,当粘细菌分解纤维、而木质素尚未开始分解时,即有腐殖物质形成。土壤腐殖物质的形成途径,一般认为有下列几种。
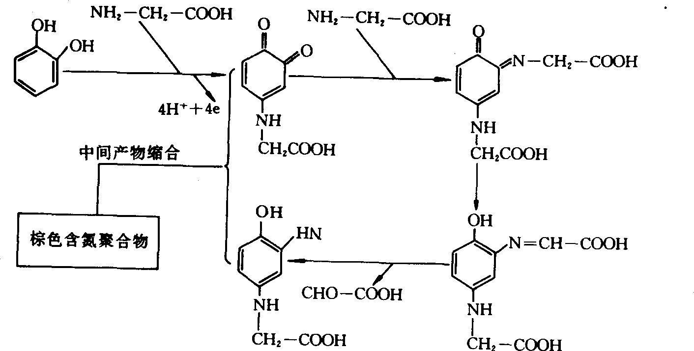
多酚和含氮化合物的缩合反应 各种一羟基、二羟基和三羟基酚以及芳族酸都是形成腐殖物质的结构单元。这些多酚在多酚氧化酶等的作用下,或者仅在空气中氧的作用下氧化为醌。在氨基酸、多肽或蛋白质存在的条件下,该氧化作用大大加速并形成芳族胺,后者进一步缩合成腐殖物质(图2)。
各种一羟基、二羟基和三羟基酚以及芳族酸既可以是木质素的降解产物,也可以是放线菌、真菌和细菌等各种微生物利用非芳族物质合成的产物。因此,植物残体中的各种组成分都可以是形成腐殖物质的原料。
木质素与含氮化合物的缩合反应 木质素在细菌胞外酶的作用下,在未被降解为苯丙烷结构的单体前,脱去甲氧基生成新的酚羟基,同时支链或支链顶端氧化形成羧基。这种经改变后的木质素在酶的作用下氧化为醌型化合物,后者与氨或氨基化合物形成醌亚胺,醌亚胺进一步缩合成腐殖物质。
与胺的缩合反应 还原糖与氨基酸等胺类化合物首先通过加成反应形成希夫(Schiff)碱和N-取代葡基胺,后者通过分子重排生成N-取代-1-氨基-1-去氧-2-酮糖,该酮糖的碎裂产物包括各种三碳链的醛和酮,以及脱水产物如还原酮和羟甲基糠醛等与氨基化合物缩聚成腐殖物质(图3)。


图2 醌与氨基酸反应形成腐殖物质的示意图


腐殖化度 指动、植物残体开始腐解后遭受变化的程度。动、植物残体在分解过程中不但同时形成腐殖物质,而且腐殖物质的化学组成和性质也随着腐解过程的进展而不断变化。在形态上表现为动、植物组织特征的不断消失,颜色逐步加深;在化学组成和性质上表现为C/N比值逐渐变至10左右,在焦磷酸钠


图3 通过美拉得(Maillard)反应形成腐殖物质的示意图

(Na4P2O7)溶液中的溶解度增大,胡敏酸的羧基、酚羟基含量增多,醇羟基和甲氧基含量减少等。通常以胡敏酸溶液在465nm处的光密度值(E4)或在465nm处及665nm处光密度的比值(E4/E6)作为腐殖化度的指标。腐殖化度较低的,胡敏酸的E4值较小或E4/E6比值较大。反之,腐殖化度较高的,胡敏酸的E4值较大或E4/E6比值较小。
影响腐殖物质合成的因素 腐殖物质的合成途径不同,其影响因子也各异。一般认为多酚和含氮化合物的缩合反应是土壤腐殖物质合成的最主要的一个途径。影响该反应的因子除氧外,有:
粘土矿物组成 不同粘土矿物对酚类化合物的催化氧化能力不同,对腐殖物质的形成量及其组成性质产生不同的影响。2:2型粘土矿物的催化氧化能力最强,形成的腐殖物质总量和胡敏酸量最多,次为2:1型粘土矿物,再次为1:1型粘土矿物。后者只是在断面上具有催化氧化能力。铁、锰氧化物也具有催化氧化能力,尤以yMnO2为最强。因此,在其它条件大致相同时,在以2:1型粘土矿物占优势的土壤中,其胡敏酸/富啡酸比值和胡敏酸的E4值均较以1:1型粘土矿物为主的土壤中的为大。
pH值 低pH值不利于半醌的形成。在其它条件大致相同时,中性和微碱性土壤中形成的腐殖物质、特别是胡敏酸的数量常较酸性和微酸性(pH4.0~5.7)土壤中者为多,胡敏酸的E4值也较大。
随便看

 

离鸟网收录3541549条中英文词条,其功能与新华字典、现代汉语词典、牛津高阶英汉词典等各类中英文词典类似,基本涵盖了全部常用中英文字词句的读音、释义及用法,是语言学习和写作的有利工具。

 

Copyright © 2004-2024 vtrois.com All Rights Reserved
更新时间:2026/4/19 21:07:46