网站首页  词典首页


请输入您要查询的字词:

 

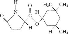
字词 克伐他汀
类别 中英文字词句释义及详细解析
释义 克伐他汀

C14H23NO3=253.34

CAS-120551-59-9

5-氧代-L-脯氨酸,3,3,5-三甲基环己酯。

5-Oxo-L-proline,3,3,5-trimethylcyclohexyl ester.

5-氧代-L-脯氨酸,(±)-顺式-3,3,5-三甲基环己基酯。

5-Oxo-L-proline,(±)-cis-3,3,5-trimethylcyclohexyl ester.

降血脂药。

Crilvastatin,PMD-387.

INN,USAN.

随便看

 

离鸟网收录3541549条中英文词条,其功能与新华字典、现代汉语词典、牛津高阶英汉词典等各类中英文词典类似,基本涵盖了全部常用中英文字词句的读音、释义及用法,是语言学习和写作的有利工具。

 

Copyright © 2004-2024 vtrois.com All Rights Reserved
更新时间:2026/4/20 8:25:36