网站首页  词典首页


请输入您要查询的字词:

 

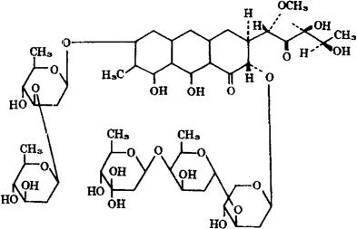
字词 光辉霉素
类别 中英文字词句释义及详细解析
释义 光辉霉素

C52H76024=1085.16

CAS-18378-89-7

[2S-[2α,3β(1R*,3R*,4S*)]]-6-[[2,6-二去氧-3-O-(2,6-二去氧-β-D-阿啦伯吡喃己糖基)-β-D-阿拉伯吡喃己糖基]氧]-2-[[O-2,6-二去氧-3,C-甲基-β-D-核吡喃己糖基-(1→4)-O-2,6-二去氧-α-D-来苏-吡喃己糖基-(1→3)-2,6-二去氧-β-D-阿拉伯吡喃己糖基]氧]-3-(3,4-二羟-1-甲基-2-戊氧)-3,4-二氢-8,9-二羟-7-甲基-1-(2H)-蒽并酮。

[2S-[2α,3β(1R*,3R*,4S*)]]-6-[[2,6-Dideoxy-3-O-(2,6-dideoxy-β-D-arabino-hexopyranosyl)-β-Darabino-hexopyranosyl]oxy]-2-[[O-2,6-dideoxy-3-C-methyl-β-D-ribo-hexopyranosyl-(1→4)-O-2,6-dideoxy-α-D-lyxo-hexopyranosyl-(1→3)-2,6-dideoxy-β-D-arabino-hexopyranosyl]oxy]-3-(3,4-dihydroxy-1-methyl-2-oxopentyl)-3,4-dihydro-8,9-dihydroxy-7-methyl-1(2H)-anthracenone.

抗肿瘤药。用于淋巴肉瘤等。

光神霉素,普卡霉素。

Plicamycin,Mithramycin,Mithracin.

光辉霉素注射液。

INN,BAN,DCF,NFN,USAN,USP,MI.

随便看

 

离鸟网收录3541549条中英文词条,其功能与新华字典、现代汉语词典、牛津高阶英汉词典等各类中英文词典类似,基本涵盖了全部常用中英文字词句的读音、释义及用法,是语言学习和写作的有利工具。

 

Copyright © 2004-2024 vtrois.com All Rights Reserved
更新时间:2026/4/19 17:41:57