网站首页  词典首页


请输入您要查询的字词:

 

字词 光诱导的化学合成
类别 中英文字词句释义及详细解析
释义 光诱导的化学合成

光化学反应就是一类特殊的反应,分子通过吸收光而活化。

因此,只有被分子吸收的光对化学变化才有效,也只有吸收了光的分子才得以活化、反应。光反应通常要求光的波长与分子的吸收相匹配,如果分子不能吸收光,则也可籍另一个能吸收光的分子依靠能量传递而使分子活化(光敏化)。对化学反应来说,通常只有紫外或可见光才有效。

分子吸收光后变为激发态分子,图1从1S0变为1S1,随后的变化可以有各种途径,

各k值为变化的速率常数,kf约为106~10121/s,kp为10-1~1061/s。

kIc,kISC,kTS均与碰撞有关,依赖于体系的压力。kR为反应速率常数(kRs为单重态反应,kRT为三重态反应速率常数),若kRs>>Kf,KIc,KISC,则激态分子全部反应,否则起反应的仅是部分激态分子。

如果光化学变化仅有上述过程,则Φ≤1.0,kR愈大,Φ亦愈大。如果光反应后还有次级过程,例如光分解生成了活泼的自由基并随之而发生了链反应,则量子产率Φ可以大于1。

因此光诱导反应通常可分两类:引发链反应和激态分子的反应。

引发链反应 由于此类反应的量子产率高,光反应的能耗低,易在工业上实现。

1947年实现第1个工业化的光化学合成是甲苯的氯化。

类似的反应还有石腊的氯化(生成氯化腊),苯与氯合成666(现已停产),甲烷的氯化等。

氯化反应的量子产率通常大于100,有些高达2500,且反应所用波长为313nm,365nm,为中压汞灯的主辐射线。此类光源的电光效率高(10%~20%)。

磺氯化反应是另一个在工业上有价值的反应:

此反应量子产率~2000,因此,电耗仅需30W-h/kg产品。与磺氯化反应相似,磺氧化反应也有高的量子产率。反应为RH+SO2+1/202→RSO3H,反应在烃/水相界面上发生,使用高压汞灯,一个40kW的汞灯可以年产1600t产物。效率甚高。

光引发链反应的特点是:反应可在低温或常温下进行,因而可改善反应的选择性;不另加引发剂,因而保持了体系的洁净;引发自由基浓度可随光强度变化而任意调节。近年来,光引发链反应取得了一些有价值的进展。

(1)1.2二氯乙烷裂解制氯乙烯:反应一般用热裂解方法制备,反应温度500~550℃,因而副反应多,产品氯乙烯中杂质含量高达千分之几,1980年Wolfrum采用光引发使反应温度降至350℃左右,大大减少了氯乙烯中杂质的含量。由于反应链长达103,虽然使用了昂贵的激光光源,但仍有一定经济性。近年来改用其它廉价光源和在体系中加入C12,也同样实现了低温反应,改善了选择性。(2)RfX+C2F4的调聚反应:碳链长度为6~10的氟碳化合物有多种用途,它们通常用调聚方法合成。

对比热反应(~200C)与光反应(常温)结果可见光诱导反应有好的结果。例如CF3I+C2F4用热反应,产物碳数以13~21为主,但用光引发则以3~7为主。

又如BrC2F4Br+C2F4用热反应,C8~C10化合物的收率低(<10%),用光引发时,籍改变光强的配比,可以使C4,C6,C8产物的选择性高达90%,80%,50%,单程产率也可达到50%,45%,31%。

激态分子的反应 此类反应的光量子产率小于1.0,因而适于合成价格高,产品吨位小的产品。

(1)光亚硝化生产已内酰胺:

反应第一步为光化反应,适宜波长510~530nm。可选用碘化铊-汞灯。

反应的量子产率为0.8,取决于光源的电光效率,每千克环已酮肟的电耗为3~5°,所耗电费仅占已内酰胺售价的5~8%,目前已大规模工业化生产。

(2)1△O2的反应:氧分子的电子激发态可以通过光敏化方式生成

Sens.+hvISens.→3Sens

3Sens.+O2(3Σ)→O2(1△)+Sens.

基态O2(三重态)通过与三重态的光敏剂(3Sens)相碰撞而转变为激发态(1△)。光敏剂为吸收强的染料(水溶性的有玫瑰红、亚甲基兰等,油溶性的有四苯基,9.10二氰蒽等),过程的量子产率接近1,生成的1△O2与烯类双键可发生氢提取和加成反应(简称ene反应),例如

此反应生成烯醇并使双键易位。反应的选择性高(接近100%),生成的烯醇脱水可制造异戊二烯。

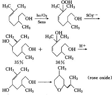
在电费低廉时不失为一条合成异戊二烯的新路线。这种ene反应使双键选择性地易位,在精细化学品合成中是有意义的,例如以下反应可藉ene反应从香茅醇(价低廉)合成高级的氧化玫瑰。

(3)光环加成反应:烯烃与另一双键化合物(烯,芳烃或羰基化合物)在光作用下可发生光环化加成,以下二例是有意义的工作:

产物2、2、4三甲基三环十二烷醇-6是具有檀香味的香料。改变烯烃或烯酮的结构可以合成出一系列具有不同香味的香料。

另一反应:

此反应从两个较常见的原料出发生成植物生长调节剂,是精细化工合成的又一例子。

(4)Vitamin D及A的合成:目前已用于工业生产的光化学反应例子:

V-D3合成如下式,利用光使(1)开环再加热而得稳定的V-D3

反应中(1)(2)均能吸收光,(2)的光解产物是无用的速甾醇。选择波长使利于(1)而不利于(2)的吸收(例如296nm)可提高V-D3的收率。

V-A的合成是利用光异构化使顺式(无生理活性)变为反式(有生理活性),如下式:

激光诱导的化学反应 激光器的高光强,高度单色性在光化学中产生了以下多方面的特色的工作。

(1)在混合物中使一种或2种物质反应的技术:例如同位素分离,激光法可使单段浓集系数高达2×104(H-D分离),分离铀及13C均已达到可以实用的地步。

我们还可以列举硅烷中用激光法去除杂质(B2H6,AsH3,PH3)的工作,杂质的分解较硅烷本身快102~104倍。

(2)在分子内选择性地断裂某一键的工作(即键选择性反应):用“注入”不同的光使分子选择地断裂不同的键是许多人的愿望,长期以来,实践证明总是在最弱键处断裂。1986年,李远哲和他的同事(E.J.Butler)发现了210nm激光使CH2BrI只断裂C-Br键,248nm使CH2BrI优先断裂C-I键。实现了第1个键选择性断裂。

以后,又发现了几个新的例子,这表明,有些分子可能按预设计的方式“剪裁”,这是光诱导反应的新领域。

(3)对传统光反应的改进与光制备催化剂:例如:2、4、5-T的光分解,用汞灯虽可以进行,但由于波长不匹配,600W汞灯的光解效果不如40mW的特定波长的激光器,而对于并无催化活性的W(CO)6,只要选择特定波长的激光照射一时间后就变为有催化活性的W(CO)5,后者使丁烯-1可以异构化。类似的例子是戊烯与Fe(CO)5在无光照时,戊烯异构化反应慢,用激光照射几个脉冲后此反应速度大增,表明Fe(CO)5变为了高活性的催化剂。

现时限制光反应工业应用的主要原因是光源价格高,电光效率低(0.1%~10%),光功率小,且波长可变性差。

由于近年已开发了有特色的光反应,电光源的不断改进也使未来光反应可能在精细化学品的合成和其它只有靠光才能实现(如键选择性反应)的反应上得到应用。

。【参考文献】:

1 Anderson Jr W T. Ind Eng Chem, 1947,39:844

2 ItoY,etal. DAS 1468737,1962

3 Fischer M. Angew Chem Int Ed Engl, 1978,17:16~26

4 WolfrumJ. DE 2938353,1980

5 Butler E J ,et al. J Chem Phys, 1986,84:4104

6 Fuss W,et al. DE 4025154,1990

(中国科学技术大学张临阳教授撰)

随便看

 

离鸟网收录3541549条中英文词条,其功能与新华字典、现代汉语词典、牛津高阶英汉词典等各类中英文词典类似,基本涵盖了全部常用中英文字词句的读音、释义及用法,是语言学习和写作的有利工具。

 

Copyright © 2004-2024 vtrois.com All Rights Reserved
更新时间:2026/4/19 11:31:30