网站首页  词典首页


请输入您要查询的字词:

 

字词 脑磷脂
类别 中英文字词句释义及详细解析
释义

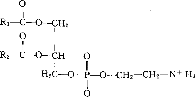
脑磷脂cephalin

又称磷脂酰乙醇胺。由甘油、脂肪酸(二分子)、磷酸和乙醇胺(胆胺)失水缩合而成的酯。结构式如下。性质与卵磷脂相似,但溶解性能有所不同,溶于乙醚,不溶于乙醇和丙酮。是生物膜的主要成分之一。与卵磷脂共存于动、植物的各种组织、器官中,在油料种子、脑和神经组织中含量较多。从脑和神经组织中提出的磷脂还有磷脂酰丝氨酸(丝氨酸磷脂),有时也将其包括在脑磷脂中。

脑磷脂

又称“乙醇胺磷酸甘油酯”,磷脂酰乙醇胺的异名。高等植物与动物体中的一种主要磷酸甘油酯,因其磷脂酸上含氮碱(乙醇胺)与磷酸基合成酯。

脑磷脂cephalin

亦称磷脂酰乙醇胺。其结构与卵磷脂相似,只是以乙醇胺(胆胺)代替胆碱。

脑磷脂

cephaline

随便看

 

离鸟网收录3541549条中英文词条,其功能与新华字典、现代汉语词典、牛津高阶英汉词典等各类中英文词典类似,基本涵盖了全部常用中英文字词句的读音、释义及用法,是语言学习和写作的有利工具。

 

Copyright © 2004-2024 vtrois.com All Rights Reserved
更新时间:2026/4/21 19:38:18