网站首页  词典首页


请输入您要查询的字词:

 

字词 脂肪
类别 中英文字词句释义及详细解析
释义

脂肪zhīfáng

有机化合物,存在于动植物体内,是含热能最多的物质。
★脂膏 脂肪酸
★乳脂 胭脂 油脂

脂肪zhīfáng

〈名〉一种有机化合物,由脂肪酸和甘油构成,存在于人体和动物的皮下组织或植物体中,是储存热能最多的物质:富含脂肪│脂肪堆积。

油(~水;~花;~泥;~垢;~渍;~烟;麻~;豆~;香~;菜~;猪~;牛~;奶~;荤~)
生物体中所含的油质:脂(脂膏;脂腴;膏脂;脂肪;油脂) 肪(肪脂) 膏(膏肪) 膋
由生物体内提取的脂肪:腻(油腻)
胸臆中的脂:
肠间的脂:
猪的脂:猪油 猪脂 猪膏 豨膏豖膏
河豚腹中的脂肪:
从牛、羊奶内提取出来的脂肪:酥(酥油)马思哥油
酥酪上凝聚的油:醍醐
酥油的别名:
油多:油汪汪

另见:油灯

☚ 酱   食物 ☛

脂肪fat

又称真脂、油脂、甘油酯和脂酰甘油。甘油和脂肪酸所形成的酯。包括含一个脂肪酸的单酰甘油(甘油一酯)、含2个脂肪酸的二酰甘油(甘油二酯)和含3个脂肪酸的三酰甘油(甘油三酯)。前2种是脂肪合成和分解的中间物,在生物体内含量很少,通常所称的脂肪主要是指三酰甘油(甘油三酯)。结构式如下。分子中3个脂酰链有长与短、饱和与不饱和之区别。完全相同的称为单纯三酰甘油,完全不同或不完全相同的则称为混合三酰甘油。生物体内存在的脂肪多数是混合三酰甘油的混合物。不含杂质的脂肪为无色、无臭、无味,呈中性;不溶于水,溶于乙醚、氯仿、苯、丙酮及热乙醇等有机溶剂中;可被酸、碱或脂肪酶所水解,被光、热、氧或微生物作用而酸败;能与氢(需加压和催化剂)、溴或碘起加成反应。在植物的种子、果实和动物的脂肪组织中含量丰富。是机体的贮藏物质和能源。也是人类的食用油和食品、肥皂等工业的原料。

脂肪

脂肪zhifang

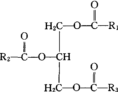
是脂肪酸和甘油构成的甘油三酯,又称中性脂肪。动物油(如猪油、牛油、羊油、奶油及鱼肝油等)与植物油(如芝麻油、花生油、豆油、菜油等)都是各种甘油三酯的混合物。甘油三酯的结构式是:
式中的R1、R2和R3是脂肪酸的碳氢链,如三者相同就叫做单纯甘油三酯,如不同则称为混合甘油三酯。植物油含有的不饱和脂肪酸比动物油多,因而含必需脂肪酸也较多。在室温下,含不饱和脂肪酸(熔点较低)比较多的脂肪是液体,比较少的是固体。甘油三酯与酸或碱共沸,或经胰脏分泌入小肠的脂肪酶作用可以水解。用KOH或NaOH水解甘油三酯叫做皂化作用,产物是K+或Na+皂与甘油。这是从甘油三酯制造家用肥皂过程的初级化学反应。液体脂肪(油)可在所含大量不饱和脂肪酸的双链上加氢,使之变成固体。这在工业上很重要,因为制肥皂、贮存、运输等都以半固态或固态的脂肪较好。脂肪在潮湿的空气中放置过久,便会产生难闻的气味,这种变化叫做酸败。这是脂肪因水解、氧化等作用产生的一些有异味的羧酸、醛、酮等化合物。微生物也能使脂肪酸败。不饱和脂肪的酸败一般不会在细胞中发生,因为这种作用会受到维生素E(有抗氧化作用)和一些酶的抑制,可能也被维生素C(抗坏血酸)抑制。但是,在某些疾病中可能发生这种作用,导致在一定组织中生成异常的脂类沉积物。甘油三酯的主要功能是贮存脂类。在大多数动物和植物细胞中,甘油三酯在显微镜下表现为胞液中均匀分散和乳化的油滴。在动物结缔组织的特化细胞——脂肪细胞中,大量的甘油三酯以脂肪滴的形式贮存,几乎充满了整个细胞。哺乳动物的皮肤下、腹腔中和腺体中都有大量的脂肪细胞。肥胖人体的脂肪细胞中可沉积许多公斤的甘油三酯,足够供应机体的基本能量需要几个月之久。而机体所贮存的糖原量尚不足供应能量一日之需。作为能的贮存形式,甘油三酯比糖原更为合适。它们不仅能以几乎纯的、不含水的形式大量贮存,而且1克甘油三酯所产的能为糖类的2倍多(1克脂肪能产生能量约9千卡)。有些动物的皮下贮存甘油三酯有两种主要功能,既作为重要的能量贮存方式,也是对付极低温度的“绝热层”。海豹、海象、企鹅和其他北极及南极的温血动物的皮下,都填充了丰富的甘油三酯(参见“脂肪酸”条)。

☚ 类脂   磷脂 ☛
脂肪

脂肪zhifang

广义的脂肪又称脂质或脂类,其中包括中性脂肪和类脂质(磷脂、糖脂、固醇类等)。脂类是一类极复杂的化学物质,难溶于水而易溶于有机溶剂。由于生理功能不同,机体中的脂肪可分为两类:一类是作为基本组织结构的脂质,如磷脂、胆固醇、脑苷脂等,是组成细胞特定结构并赋予细胞特定生理功能必不可少的物质,很少受膳食脂肪的影响而变动,含量稳定,故称定脂。体内常见的磷脂有卵磷脂、脑磷脂、神经磷脂等,在肝脏、大脑和神经组织中含量最多。卵磷脂中的胆碱与脑组织中的乙酸结合,成为“乙酰胆碱”,与学习和记忆功能有关。另一类脂肪为储存脂肪,是体内过剩能量的一种储存形式,易受膳食脂肪的影响而变动。当体内糖和蛋白质过剩时,可转变成脂肪贮存在体内;当入不敷出时,贮存的脂肪被动用,以补偿能量的消耗。这类脂肪由于含量变动较大,故称动脂。一般论及脂肪的生理功能时是指动脂。

☚ 儿童蛋白质的需要量   脂肪的生理功能 ☛

脂肪grease

系一种高分子有机化合物。一般指常温下呈固态的油脂而言。脂肪广泛存在于动植物体内,其化学结构是由3个分子脂肪酸和1个甘油分子所组成。呈无色、无臭、无味的,比水轻、不溶于水而溶于有机溶剂中;在酸或酶的作用下可被水解成为甘油和脂肪酸;在碱的作用下水解成甘油和高级脂肪酸盐(皂化);在某些物质的作用下脂肪可以微小的油滴分散在水中形成乳浊液。脂肪是人体重要营养素之一,可参与机体组织、器官的构成,调节机体的代谢,供给人体的能量,是人类生存不可缺少的重要物质。但人体内脂肪过多,可引起肥胖、高脂血症、动脉粥样硬化等疾病。故人体摄入脂肪需适度。

脂肪

脂肪Zhifang

由碳、氢、氧三种元素组成。它可分为中性脂肪和类脂(磷脂和固醇类等)两大类。我们平时说的脂肪是指中性脂肪,它是由一个分子甘油和三个分子脂肪酸组成,故又称甘油三脂。脂肪是构成机体组织细胞的重要成分之一。它能供给机体热能,维持体温,保护脏器、关节及神经免受外伤,促进人体对脂溶性维生素的吸收(如维生素A、D、E、K),增进食欲等。机体缺乏脂肪容易患脂溶性维生素缺乏症,但过量脂肪可影响蛋白质、钙、铁和多种维生素的吸收。在正常情况下,7—10岁儿童每日供给脂肪的量为每公斤体重3克;10—14岁为每公斤体重2.5—1.5克。从事体育锻炼时,脂肪需要量增加,成年运动员应按每天每公斤体重1.6—2.2克供应;如果从事长跑、超长跑、滑冰、游泳等运动,脂肪的摄入量还应增加。儿童少年从事体育锻炼时,脂肪的需要量比成年人多,应按每天每公斤体重三克左右供应。但在一般情况下应适当控制脂肪的摄入量,不应叫学生吃过于油腻的食物。因为脂肪较难消化,吃得过多不仅会增加消化道的负担,同时使体内储存脂肪增加,影响运动。应增加植物油的摄入,如黄豆、核桃、芝麻、瓜子等。因为植物油可以增加必需脂肪酸和磷脂的摄入,这有利于促进儿童少年的生长发育。

无机盐主要功用缺乏症状
构成骨骼和牙齿的主要成
分。能促进血液凝固,维护
心脏正常搏动, 使肌肉收
缩, 神经兴奋性等
骨骼和牙齿发育
不良, 出现佝偻
病、 手足搐搦症
是构成骨骼、牙齿和神经组
织的重要成分,是人体细胞
核蛋白和体内各种酶的主
要成分
佝偻病
构成血红蛋白、 肌红蛋白、
细胞色素和酶的重要成分,
帮助氧的运转
贫 血
构成甲状腺素的主要成分。
可调节机体新陈代谢,促进
婴幼儿生长发育
甲状腺肿、克汀病
(矮小、 呆傻)


参与机体的新陈代谢、胃酸
的生成,维持体内水、渗透
压和酸碱平衡并增强神经、
肌肉的兴奋性
机体中缺乏钠出
现酸中毒,缺乏氯
呈碱中毒
体内多种酶和胰岛素的重
要组成成分,与蛋白质、核
糖核酸合成有关。有促进伤
口愈合的功用
儿童生长缓慢,食
欲不振,创伤不易
愈合,神经系统功
能异常
☚ 糖   无机盐 ☛

脂肪

又称“三酸甘油酯”、“甘油三酯”。脂肪酸的甘油三元酯。脂类物质中含量最丰富的一类,如植物油和动物脂。生理功用主要是氧化供能。也是植物和动物细胞贮脂的主要组分。一般在室温下为固态的称为脂,液态的称为油,有时也统称为油脂或中性脂。是动植物生命活动的主要能源之一,亦能帮助脂溶性维生素吸收。植物种子中的油脂是一种贮备养料,可满足种子发芽时的需要。

脂肪

脂肪

亦称“真脂”或“中性脂肪”。是甘油和脂肪酸所构成的酯。机体内的脂质分为组织脂质和贮存脂质两大部分。组织脂质主要是类脂质(包括胆固醇、磷脂等),是组织细胞的组成成分,在人体饥饿时也不减少,不能成为能源。贮存脂质主要是脂肪。在全部贮存脂质中,脂肪约占98%;其中不仅有来自食物的所谓外源性脂肪,还有来自糖和氨基酸在体内转变成的所谓内源性脂肪。所以脂肪是体内各种能源物质贮存的主要形式。脂肪通常贮存于皮下组织、内脏器官周围、胃肠系膜、肌间质等处。脂肪的血存量很大,成年男子一般占体重的10~20%,女子更多一些。贮存的脂肪在需要时可迅速分解为甘油和脂肪酸,经血液输送到各组织器官以供利用。机体摄入并吸收过多的能源物质并活动量较小时,则脂肪贮存增多,体重增加;若能源物质供应不足或活动量过大,则使脂肪贮存减少,体重减轻。脂肪作为能源物质的另一个特点是氧化时释放能量较多,一克脂肪氧化所释放的能量约为1克糖或蛋白质在体内氧化时所释放能量的2倍。在正常情况下,人体所消耗的能源物质有40~50%来自体内的脂肪(从食物中摄取的糖,部分已转化为体内的脂肪);在短时间饥饿情况下,机体的能量主要由脂肪供给。脂肪酸可直接供很多组织利用,也可在肝内生成酮体再供其它组织利用。不但骨骼肌、心肌等可利用脂肪酸和酮体,在饥饿时脑组织也可以利用。所以脂肪也是体内重要的能源物质,但不能在缺氧情况下供能。脂肪不易导热,脂质柔软,具有保持体温和缓冲机械撞击的作用。此外,脂肪是脂溶性维生素的溶剂,所以在促进脂溶性维生素吸收方面具有重要意义。

☚ 老年人糖代谢的特点   脂肪的生理功能 ☛

脂肪fat

亦称甘油三酯或三脂肪酰甘油。它分布于腹部、皮下和肌纤维之间,是体内的储脂。因其受营养状况和机体活动的影响而增减,故亦称可变脂。储脂在正常体温下多为液态或半液态。在一般情况下,膳食中脂肪占总热量17~20%即可满足机体需要。高脂膳食可引起肥胖,诱发冠心病、高血压及胆石症,并可使肿瘤的发病率增加。

脂肪

脂肪

广义的脂肪又称脂质或脂类,其中包括中性脂肪和类脂质(磷脂、糖脂、固醇类等)。脂类是一类极复杂的化学物质,难溶于水而易溶于有机溶剂。脂类天然存在于生物体内,其中以中性脂肪含量最高。中性脂肪系由一分子甘油和三分子脂肪酸组成。脂肪酸可简称脂酸。营养上的脂肪主要指中性脂肪。
脂肪的生理意义 由于生理功能不同,机体中的脂肪可分为两类: 一类是作为基本组织结构的脂质,如磷脂、胆固醇、脑苷脂等,是组成细胞特定结构并赋与细胞特定生理功能所必不可少的物质。这部分脂质,即使长期饥饿也不会被动用,含量非常稳定,故称定脂。另一类为储存脂肪,是体内过剩能量的一种储存形式。摄入能量若长期超过需要,即可使人发胖(储存脂肪增高);饥饿则会使人消瘦(储存脂肪耗竭)。由于含量变动较大,故称动脂。动脂的生理功能为:
❶随时提供体内所需能量;
❷皮下脂肪起隔热保暖作用,可保护体热不过度散失;
❸内脏脂肪有缓冲振动、摩擦和支持内脏器官作用;
❹提供脂肪酸,作为合成其他脂质的原料;
❺提供维持正常生理功能所不可缺的必需脂肪酸。至于膳食脂肪,尚有以下营养意义:
❶膳食脂肪可延迟胃的排空,从而增加饱腹感。是因脂肪进入十二指肠后刺激产生肠抑胃素,使肠蠕动受到抑制所致。
❷烹调中使用适量脂肪,可改善食物的感官性能,使人乐于食用,从而促进食欲,有利于消化吸收。
❸膳食中有适量脂肪存在,有利于脂溶性维生素,特别是维生素A原的吸收。
必需脂肪酸 根据碳原子的价键不同,可将脂肪酸分为饱和脂肪酸与不饱和脂肪酸。不饱和脂肪酸具有一个或一个以上的不饱和键。凡具有一个不饱和键的不饱和脂肪酸称为单不饱和脂肪酸,具有两个以上不饱和键的不饱和脂肪酸,称为多不饱和脂肪酸。机体生理需要,体内不能合成,而必须由食物供给的多不饱和脂肪酸,称为必需脂肪酸,如亚油酸(十八碳二烯酸)、亚麻油酸(十八碳三烯酸)、花生油烯酸(廿碳四烯酸),但严格说来,只有亚油酸才是真正的必需脂肪酸,其他两酸可在一定程度上被代替或被节约。
必需脂肪酸有降低血浆胆固醇及甘油三酯的作用,并有减少血栓形成和血小板粘结的趋势,后者可能与必需脂肪酸是形成前列腺素的前体有关。
必需脂肪酸在植物油中含量较高,动物脂肪含量较少(见附表)。故血脂(包括甘油三酯及胆固醇)过高的人宜少吃动物性脂肪,而以植物油代替,但椰子油例外。

几种食用油脂中的脂肪酸含量(%)

油脂名称饱和脂肪酸单不饱和脂肪酸多不饱和脂肪酸P/S
猪 油
牛 油
鸡 油
豆 油
玉米胚油
花生油
芝麻油
棉籽油
菜籽油
42.3
51.4
25.6
14.8
15.2
16.2
12.5
27.9
4.5
45.1
41.6
45.3
20.9
36.5
42.5
40.9
16.5
74.0
8.4
6.2
25.7
62.8
48.3
41.3
46.6
55.6
21.5
0.19
0.12
1.00
4.20
3.18
2.55
3.73
1.99
4.78

注: P/S为多不饱和脂肪酸与饱和脂肪酸的比值。

膳食中脂肪的供给量和食物来源 供给人类脂肪的食物,在动物性食物中主要有猪油、牛脂、羊脂、肥肉、奶类、蛋类及其制品;植物性食物,主要有菜油、大豆油、麻油、花生油、大豆、花生、芝麻、核桃、瓜子仁等。脂肪的营养价值,可从消化率、必需脂肪酸含量和脂溶性维生素含量三方面衡量。
脂肪的消化率主要决定于其熔点,而熔点又与其低级脂肪酸及不饱和脂酸的含量有关。故比较起来植物油和奶油更易消化。
一般脂溶性维生素含量高的脂肪营养价值较高。动物的贮存脂肪几乎不含维生素,器官脂肪则含少量,其中肝脏脂肪含维生素A、D很丰富,特别是某些海产鱼的肝脏脂肪维生素含量更多。奶和蛋的脂肪含维生素A、D亦较丰富。植物油不含维生素A和D,但含维生素E,特别是谷类种子的胚油 (如麦胚油)含维生素E更为突出。
膳食脂肪的供给量问题: 在能量供应充足而又不是有意识地限制脂肪摄入量的情况下,即使脂肪摄入量很少,也不会出现营养性脂肪缺乏病。因此从营养角度考虑脂肪供给量,不是为了预防缺乏病,而是从供给能量出发,附带考虑烹调和饱腹感的需要,原则上尽可能不要摄入太多的脂肪,且要注意减少动物性脂肪,代之以植物油。因高脂膳与高血浆胆固醇及高β-脂蛋白有密切相关,可能是引起一些老年性疾病的因素。但这个因素主要是多不饱和脂肪酸与饱和脂肪酸的比值(P/S),而不完全是摄入脂肪的总量。
膳食中的脂肪一般指烹调用油与食物本身含有脂类的总和。各国的营养供给量标准均未对脂肪作具体规定,一般认为脂肪供给的能量以占总热量的20~30%为宜。对于体力活动很强,需能量16736kJ/d(4000kcal/d)以上的人摄入量可适当提高,以免食物体积过大。若条件不许可,脂肪供给量可降至占总热量的20%以下,同时相应提高碳水化物供给量,亦完全合乎营养生理基础的要求。
☚ 热能   碳水化物 ☛
00000346
随便看

 

离鸟网收录3541549条中英文词条,其功能与新华字典、现代汉语词典、牛津高阶英汉词典等各类中英文词典类似,基本涵盖了全部常用中英文字词句的读音、释义及用法,是语言学习和写作的有利工具。

 

Copyright © 2004-2024 vtrois.com All Rights Reserved
更新时间:2026/4/20 10:09:42