网站首页  词典首页


请输入您要查询的字词:

 

字词 脂类代谢
类别 中英文字词句释义及详细解析
释义

脂类代谢lipids metabolism

生物体内脂类的合成和分解过程。生物体内脂类的种类繁多,代谢途径亦各异。本条目以脂肪(甘油三酯)代谢为重点。脂肪由甘油和脂酸缩合而成,甘油来自糖酵解中间产物磷酸二羟丙酮的还原,合成脂酸的原料乙酰辅酶A来源于糖酵解产物丙酮酸的脱羧氧化。脂肪分解的产物可再进入糖酵解途径。因此脂肪代谢与糖代谢的关系极为密切,脂肪和糖在生物体内可以互相转变。
脂肪的合成 合成脂肪所需的甘油是α-磷酸甘油。α-磷酸甘油可由糖酵解的中间产物——磷酸二羟丙酮还原而成,或甘油在腺苷三磷酸(ATP)参与下通过磷酸化作用而形成。脂酸的合成比较复杂,包括饱和脂酸的从头合成、饱和脂酸链的延长和不饱和脂酸的合成3个内容: ❶饱和脂酸的从头合成。这一过程是在细胞溶质中进行的,以乙酰辅酶A(乙酰CoA)为直接原料,并有CO2及多种酶的参与。首先是乙酰CoA在乙酰CoA羧化酶的催化下,与CO2生成丙二酰CoA,然后按图1所示程序进行脂酸合成。丁酰ACP是脂酸合成的第一轮产物,通过这一轮变化,延长了两个碳原子。依此循环,直至生成含16个碳的软脂酸为止。
❷饱和脂酸链的延长。由于β-酮脂酰ACP合成酶对软脂酰——ACP无活性,上述途径只能合成16碳以下的脂酸; 生物体内所含碳链长度在16碳以上的脂酸,如硬脂酸(18:0)、花生酸(20:0)等,是酶催化进一步延长碳链而形成的。这一过程在微粒体中进行; 缩合酶先使脂酰CoA与乙酰CoA缩合,形成β-酮脂酰CoA,再经还原态烟酰胺腺嘌呤二核苷酸(NADH+H+) 和还原态烟酰胺腺嘌呤二核苷酸磷酸 (NADPH+H+)供氢还原,产生比原来多两个碳原子的脂酰CoA,如此重复加长碳链形成16碳以上的脂酸。
❸不饱和脂酸的合成。分有氧和无氧两条途径。有氧途径发生在真核生物中,饱和脂酸在有关酶的催化下先活化,再氧化脱氢。在动物细胞中,饱合脂酰CoA的脱饱和需要细胞色素b5还原酶——细胞色素b5系统来传递电子; 在植物细胞中则需黄素蛋白——铁氧还蛋白系统来传递电子。生成的单烯脂酸可进一步脱饱和形成二烯、三烯脂酸。厌氧途径出现在微生物中,其过程是一个短链的10碳饱和脂酸癸酸先在酶的催化下β氧化成β-羟癸酸,然后在脱水酶作用下在β、γ碳位间脱水,生成3,4-癸烯酸,以后碳链继续延长,生成不同碳原子数的单烯酸。


图 1 饱和脂酸合成图


❶乙酰CoA羧化酶;
❷ACP-酰基转移酶;
❸ACP-丙二酰单酰转移酶;
❹β-酮酰基-ACP合成酶(缩合酶);
❺β-酮酰基-ACO合成酶;
❻β-酮酰基-ACP还原酶;
❼羟酰ACP脱水酶;
❽烯酰ACP还原酶;
❾β-酮酰基-ACP合成酶; ACP:酰基载体蛋白;
❿硫酯酶


脂肪的缩合过程:先是在磷酸甘油转酰酶催化下,α-磷酸甘油与2分子脂酰CoA形成β-甘油磷酸二酯;β-甘油磷酸二酯经磷酸酶作用脱去磷酸后,再与1分子脂酰CoA反应(二酰甘油转酰酶催化)生成三酰甘油,即脂肪。
脂肪的分解 脂肪在脂酶的作用下,可水解成甘油和脂酸。甘油在甘油激酶和ATP作用下生成α-磷酸甘油,α-磷酸甘油可进一步在磷酸甘油脱氢酶作用下生成磷酸二羟丙酮。磷酸二羟丙酮是糖酵解过程的中间产物,它可循酵解途径变成丙酮酸,再经三羧酸循环,最后氧化成CO2和水,同时放出能量。脂酸是通过氧化作用分解的。氧化方式有β-氧化、α-氧化和ω-氧化等,但以β-氧化为主。β-氧化指从脂酸羟基端的β-碳原子开始的氧化作用,为克努普(F.Knoop)1904年首先提出,其后并得到证实和发展。脂酸的β-氧化包括下列步骤:❶脂酸在脂酰CoA合成酶作用下,与CoA形成脂酰CoA,这一反应消耗一分子ATP;
❷脂酰CoA在脱氢酶作用下脱氢,形成反式α,β-烯脂酰CoA,脱下的氢将氧化态黄素腺嘌呤二核苷酸(FAD)还原成还原态黄素腺嘌呤二核苷酸(FADH2);
❸反式α,β-烯脂酰CoA在水合酶作用下转变成β-羟基脂酰CoA;
❹再经脱氢酶作用形成β-酮脂酰CoA,并将氧化态烟酰胺腺嘌呤二核苷酸(NAD+)还原成NADH+H+;
❺最后在硫解酶的作用下,生成乙酰CoA和比原来的脂酰CoA缩短2个碳原子的脂酰CoA。上述过程周而复始。每循环一次,脂酸链缩短2个碳原子,并形成一个乙酰CoA,直至整个脂酸分子分解完毕。乙酰CoA经三羧循环氧化成CO2和水,并放出能量(图2)。


图 2 脂肪酸的β-氧化作用


磷脂的合成和分解 生物体内的磷脂有多种,其代谢途径也各不相同。现以卵磷酯为例述其代谢过程。卵磷酯的合成,首先是胆碱在ATP和激酶的作用下磷酸化,生成磷酸胆碱; 磷酸胆碱在转胞苷酶的催化下,与胞苷三磷(CTP)作用生成胞苷二磷酸胆碱(CDP-胆碱); CDP-胆碱再与二酰甘油作用,生成磷脂酰胆碱,即卵磷酯。分解卵磷酯的酶有4种,分别命名为磷脂酶A1、磷脂酶A2、磷脂酶C和磷脂酶D,它们分别作用于磷脂分子的不同部位。磷脂酶A1作用于❶的部位上,生成β-脂酰基甘油磷酸胆碱和一分子脂肪酸。磷脂酶A2作用于
❷的部位上,生成α-脂酰基甘油磷酸胆碱和一分子脂酸。新近研究指出,在蛇毒、蜂毒中含一种磷脂酶A,可水解磷脂α-酯键或β-酯键,产生一种具有溶血性的磷酸一酯,称溶血卵磷脂,其作用是破坏血液里的红细胞。磷脂酶C作用于
❸的部位上,生成二酰甘油和磷酸胆碱。磷脂酶D作用于
❹的部位上,生成磷脂酸和胆碱。磷脂酶D亦可催化磷脂酰基的反应,将磷脂分子上的磷脂酰基转移至别的含羟基化合物上(如甘油等)。
甾类化合物的合成和分解 甾又称固醇。对于固醇类的代谢途径,目前了解不多,现就胆固醇的代谢加以略述。胆固醇生物合成途径大致可分5个阶段:❶由乙酰CoA与乙酰乙酰CoA生成β-羟β-甲基戊二酸(C6);
❷从β-羟β-甲基戊二酸放出CO2,形成异戊二烯(C5);
❸由6个异戊二烯缩合成鲨烯(C30);
❹鲨烯转变成羊毛脂固醇(C30);
❺由羊毛脂固醇转变成胆固醇(C27)。胆固醇在动物体分解时,其环核结构不被分解,而支链则被氧化。重要的是胆固醇在体内可转变成性激素、肾上腺皮质激素、胆酸、维生素D、胆固醇酯等一系列重要生理物质。胆固醇进入肠道后,大部分被重行吸收,一部分被肠细菌还原成类固醇,随粪便排出体外。

脂类代谢lipid metabolism

脂类物质在生物体内合成和分解的过程。包括脂肪、磷脂、蜡、固醇等脂类物质的代谢。在生物体内的物质代谢和能量代谢中占有重要地位,生物通过合成代谢形成贮藏性与结构性脂类,经分解代谢获得大量能量。与糖类代谢的关系极为密切,也受某些激素的调节控制。脂类代谢失调可导致人的肥胖、血管硬化、结石、脂肪肝和酮尿等疾病。研究油料作物的脂类代谢有利于增加油脂产量,改善油脂的品质。

脂类代谢

脂类代谢zhileidaixie

指脂类在细胞内的代谢途径。脂肪首先经脂肪酶的催化,水解成脂肪酸和甘油。脂肪酶在动物、植物、微生物体内广泛分布,在动物中,分泌到消化液中的胆汁酸能使食物脂肪乳化,促进其水解。所产生的甘油和脂肪酸被吸收后,由血液运送至组织细胞。在细胞中,甘油可先酶促转变成磷酸甘油,然后进一步变成磷酸丙糖,再与糖的代谢汇合,彻底氧化成CO2和水,也可合成葡萄糖或糖原。胞浆中的游离脂肪酸必须在线粒体基质中进一步氧化。脂肪酸要进入线粒体须经过三步酶促反应。第1步反应是脂肪酸在线粒体外膜上,经三磷酸腺苷(ATP)与辅酶A(CoASH)参加的酶促反应“活化”成脂酰辅酶A。脂酰辅酶A不能穿过线粒体内膜,借有肉毒碱参加的两步酶促反应,可在线粒体基质中再生。肉毒碱存在于绝大多数动物及植物组织中,人类及脊椎动物能从赖氨酸合成肉毒碱,这两步反应和整个过程是:


图536 由细胞质至线粒体中β-氧化部位传递图解

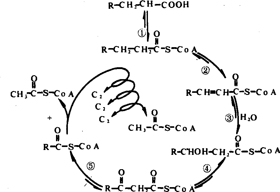
脂肪酸的氧化分解可有几种方式,但以β-氧化最为重要。所谓β-氧化就是不断在脂肪酸的β碳原子处发生氧化裂解,最终全变成二碳单位的过程,脂酸在ATP参与下“活化”成脂酰辅酶A后,经脱氢、水化、脱氢、裂解等4步酶促反应,生成1分子乙酰辅酶A及1分子碳链短两个碳原子的脂酰辅酶A。此碳链较短的脂酰辅酶A,又经过同样的系列酶促反应,生成乙酰辅酶A。如此重复进行,脂肪酸最终全变成乙酰辅酶A分子。催化第1次脱氢反应的脱氢酶是一种黄素蛋白,反应后其辅基FAD变成还原型FADH2。第2次脱氢反应由一种烟酰胺脱氢酶催化,反应后其辅酶烟酰胺腺嘌呤二核苷酸(NAD+)也变成还原型NADH。每分子FAD·H2进入呼吸链氧化可生成2分子ATP,每分子NADH进入呼吸链则可生成3个ATP分子。可见除脂肪酸活化时消耗ATP外,每产生1个二碳单位便可产生5个ATP分子,在脂肪酸β-氧化阶段已可产生不少机体可以利用的能。脂肪酸β-氧化所产生的乙酰辅酶A,可通过三羧酸循环和呼吸链彻底氧化成CO2和水。1分子含18碳的饱和脂酸(硬脂酸),最终可产生9分子乙酰辅酶A。3分子葡萄糖也含18个碳原子,却只能产生6分子乙酰辅酶A。仅粗略比较,也可看出:脂肪的产能效率比糖高。在人类和大多数哺乳动物的肝脏中,脂肪酸氧化产生的乙酰辅酶A有两条分解途径。一是通过三羧酸循环氧化成CO2和水,并产生能量。另一途径是,2分子乙酰辅酶A缩合成乙酰乙酰辅酶A,后者脱去辅酶A后还原生成β-羟丁酸或脱羧生成丙酮。乙酰乙酸、β-羟丁酸和丙酮统称为酮体。

酮体生成是肝脏向肝外组织输送能源的一种方式。肝外组织可以把乙酰乙酸和β-羟丁酸重新转变成乙酰辅酶A,再通过三羧酸循环彻底氧化。丙酮是挥发性化合物,可通过呼吸作用排出体外。正常时,血中酮体浓度极低,但在饥饿或患糖尿病时,血液酮体水平极高。此时,因糖的供给不足或缺乏氧化糖的能力,使肝加速脂肪的氧化,产生过多的酮体,超过了肝外组织氧化的能力。酮体在血中积聚过多成酮血症,可导致酸中毒。脂肪酸可从乙酰辅酶A合成。大体上通过缩合、还原、脱水、还原的重复系列酶促反应,逐步在乙酰辅酶A分子上添加二碳单位,最后生成长链脂肪酸。参加合成过程的酶和反应机理与脂肪酸氧化分解过程完全不同。其中的还原反应均由还原型烟酰胺腺嘌呤二核苷酸磷酸(NADPH)提供氢。NADPH主要由糖氧化的磷酸戊糖途径供应。动物及微生物的细胞质是脂肪酸合成的主要场所。植物则除细胞质外,也在线粒体或叶绿体中合成脂肪酸。脂肪由脂酰辅酶A与磷酸甘油生成。后者可从甘油或磷酸丙糖产生。故糖可转化为脂肪。磷脂合成时,先生成甘油二酯,再引入第2个极性头(乙醇胺或胆碱)。甘油二酯的生成与脂肪生成的最初反应步骤相同。乙醇胺或胆碱则消耗三磷酸腺苷(ATP)和三磷酸胞苷(CTP),生成胞苷二磷酸乙醇胺或胞苷二磷酸胆碱等中间产物。此中间产物再与甘油二酯合成相应的磷脂。人和动物的各种组织均可从乙酰辅酶A循复杂的途径合成胆固醇,并可使之酯化成胆固醇酯。胆固醇还可转化成性激素、肾上腺皮质激素、维生素D3、胆酸等。


图537 脂肪酸β-氧化图解

☚ 脂肪酸   蛋白质工程 ☛
00003596
随便看

 

离鸟网收录3541549条中英文词条,其功能与新华字典、现代汉语词典、牛津高阶英汉词典等各类中英文词典类似,基本涵盖了全部常用中英文字词句的读音、释义及用法,是语言学习和写作的有利工具。

 

Copyright © 2004-2024 vtrois.com All Rights Reserved
更新时间:2026/4/22 0:29:58