网站首页  词典首页


请输入您要查询的字词:

 

字词
类别 中英文字词句释义及详细解析
释义

读音·an(ˋ),为an韵目,属an—ian—uan—üan韵部。
❶有机化学中的名称,其通式为R ·NH2;可以分为伯胺、仲胺、叔胺等。

上一条: 下一条:
{}5006尿臊味。粤语。广东广州〖〗。臭尿~尿的臊臭气‖间房臭臭~嘅屋子里有股尿臊气。

胺àn

有机化合物,氨分子中部分或全部氢原子被烃(tīng)基取代而成,如苯胺。

氨的氢原子被烃基代替所成的化合物:苯~︱磺~︱硫~素。

胺àn

一种有机化合物。[英] amine。1932年11月《化学命名原则·有机化学命名原则》第一章:“含氮化合物之类名,以氮或肉旁之字表之。例1. azo-compounds,偶氮化合物;diazonium salts,重氮盐。例2. amines,胺类;imines,亚胺类;hydrazines,肼类。例3. amidines,脒类;guanidines,胍类。例4. oximes,肟类。例5. nitriles,腈类;carbylamines,胩类。例6. urea(s),脲(类)。(胺读如按,肼读如井,脒读如米,胍读如瓜,肟读如握,皆谐声;腈读如进,会意;胩读如卡,谐声;脲读如尿,会意。)”

*an

B0B7
化学中指氨分子里的氢原子被烃基取代所形成的有机化合物。

胺an

氨分子中的氢原子被烃基取代的产物。按取代烃基的数目可分为一级胺 (伯胺)、二级胺(仲胺)、三级胺 (叔胺)按烃基的类型又可分为脂肪胺和芳香胺 (氮原子与苯环直接相连)。按氨基数则分为一元胺、二元胺和多元胺。
胺一般有一种令人不愉快的气味。胺具有碱性,脂肪胺的碱性比氨强,芳香胺的碱性比氨弱,胺可与强酸反应生成盐。胺容易发生氧化反应,如脂肪胺可以被过氧化氢氧化:


芳香胺更易被氧化,在空气中放置使氧化得到复杂产物,其颜色由黄至红,甚至变黑色。
脂肪伯胺与亚硝酸反应放出氮气:


R—NH2+HNO2→ROH+N2↑+H2O

此反应用于检测有机物中的氨基。芳香伯胺在较低温度下与亚硝酸反应得到重氮盐 (参见“重氮盐”)。仲胺与亚硝酸反应得到N-亚硝基胺,黄色物质,有致癌作用:


脂肪叔胺与亚硝酸生成盐:


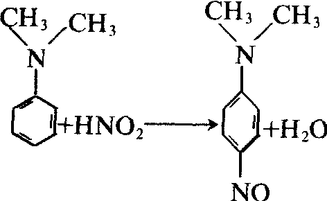
芳香叔胺与亚硝酸发生对位亚硝基取代反应:



N,N-二甲基苯胺 对亚硝基-N,N-二甲基苯胺

用亚硝酸可以鉴别各种胺。
胺在自然界广泛存在,氨基酸脱羧可以得到胺。如:


脂肪胺可由卤代烃与氨作用制备:



脂肪胺也可由酰胺、腈、肟还原制得:



由芳香族硝基化合物还原可制得芳香胺。
☚ 三硝基甲苯   苯胺 ☛

胺àn

{化} (有机化合物) amine
◆胺化剂 aminating agent;
胺化氧 amine oxide;(酰)胺基 amido;amidogen;
胺甲萘 sevin;
胺酸 amino acid;
胺盐 amine salt;
胺氧化酶 amine oxidase;
胺氧基 azyloxy

胺àn

10画 月部 〖英amine〗有机化合物,氨分子中的氢原子被烃(tīng)基置换而成。

随便看

 

离鸟网收录3541549条中英文词条,其功能与新华字典、现代汉语词典、牛津高阶英汉词典等各类中英文词典类似,基本涵盖了全部常用中英文字词句的读音、释义及用法,是语言学习和写作的有利工具。

 

Copyright © 2004-2024 vtrois.com All Rights Reserved
更新时间:2026/4/19 22:44:10