网站首页  词典首页


请输入您要查询的字词:

 

字词 充分乘数
类别 中英文字词句释义及详细解析
释义 充分乘数

财政变量对产出的扩张与收缩具有乘数效应,但如果将总需求的形成部分之一,即投资I,作为一个变量来考虑,就会使原有财政变量的乘数效应因投资变动而受影响。

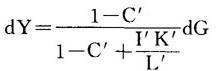
我们把不考虑投资变动的财政乘数叫做简单乘数,相对于它,投资变动情况下的财政乘数就是充分乘数。所得税体制下政府支出的充分乘数与简单乘数分别是:

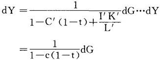
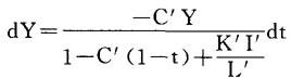
其中I代表投资量,K代表交易所需的货币量,L代表投资所需的货币量。二者相比,充分乘数小于简单乘数,因为其分母较大。投资变动下的税率的充分乘数可表示为:

它小于简单税率乘数。平衡预算下的充分乘数也小于相对应的简单乘数,可表示为:

随便看

 

离鸟网收录3541549条中英文词条,其功能与新华字典、现代汉语词典、牛津高阶英汉词典等各类中英文词典类似,基本涵盖了全部常用中英文字词句的读音、释义及用法,是语言学习和写作的有利工具。

 

Copyright © 2004-2024 vtrois.com All Rights Reserved
更新时间:2026/4/18 7:17:36